return

Celebratio Mathematica

Yakov M. Eliashberg

Lagrangian knots and unknots: an essay

by Leonid Polterovich and Felix Schlenk

Yasha Eli­ash­berg has made sev­er­al in­ven­tions in sym­plect­ic to­po­logy that opened a new door and that in his and oth­er re­search­ers’ hands de­veloped in­to rich the­or­ies. In this pa­per we il­lus­trate this in just one ex­ample. We weave a nar­rat­ive around Lag­rangi­an knots with sev­er­al goals in mind: to hon­or Yasha’s con­tri­bu­tions, to sur­vey the cur­rent state of the field along with some un­re­solved ques­tions, and to de­scribe a se­lec­tion of con­struc­tions and ar­gu­ments with­in the field that lend them­selves to brief and straight­for­ward ex­pos­i­tion, apt for a cel­eb­rat­ory es­say.

1. Background, basics, and motivation

Background

The cel­eb­rated Eli­ash­berg–Gro­mov \( C^0 \)-ri­gid­ity the­or­em from [1] and ([e6], Sec­tion 3.4.4) states that the group of sym­plect­ic dif­feo­morph­isms of a sym­plect­ic man­i­fold is \( C^0 \)-closed in the group of all dif­feo­morph­isms. This ri­gid­ity res­ult es­tab­lished the ex­ist­ence of sym­plect­ic to­po­logy. On the oth­er hand, there were known flex­ib­il­ity phe­nom­ena for sym­plect­ic man­i­folds due to Gro­mov’s \( h \)-prin­ciples. The co­ex­ist­ence of ri­gid­ity and flex­ib­il­ity in sym­plect­ic to­po­logy has been of great in­terest ever since; see Eli­ash­berg’s in­form­at­ive sur­vey [15].

One sub­ject in sym­plect­ic geo­metry in which ri­gid and flex­ible fea­tures go hand in hand is the prob­lem of Lag­rangi­an knots and un­knots, for­mu­lated by Arnold ([e7], Sec­tion 6) in 1986. We have chosen this top­ic since we find it beau­ti­ful and since there has been much re­cent pro­gress on Lag­rangi­an knots.

Basic notions

A sub­man­i­fold \( L \) of a sym­plect­ic man­i­fold \( (M,\omega) \) is called Lag­rangi­an if \( \omega \) van­ishes on \( TL \) and if \( L \) has half the di­men­sion of \( M \). Ex­amples are the zero sec­tion of co­tan­gent bundles \( T^*L \), en­dowed with their ca­non­ic­al sym­plect­ic form \( \sum_j dp_j \wedge dq_j \). Fur­ther­more, the product of Lag­rangi­an sub­man­i­folds is Lag­rangi­an in the product of their am­bi­ent sym­plect­ic man­i­folds. In the stand­ard sym­plect­ic vec­tor space \( (\mathbb{R}^{2n}, \omega_0) \) we there­fore have Lag­rangi­an tori (products of circles in the sym­plect­ic co­ordin­ate planes), and through Dar­boux charts Lag­rangi­an tori ex­ist in all sym­plect­ic man­i­folds.

Roughly speak­ing, a Lag­rangi­an is knot­ted if it can­not be de­formed to a stand­ard mod­el Lag­rangi­an. In \( T^*L \) the mod­el is the zero sec­tion, and in \( \mathbb{R}^{2n} \) the mod­els are the product tori. In the com­plex pro­ject­ive plane \( \mathbb{C}\mathrm{P}^2 \), that we al­ways en­dow with a Fu­bini–Study form, the mod­el is the Clif­ford tor­us or the real pro­ject­ive plane, and in a product of two 2-spheres the mod­el is the product of the equat­ors or (if the spheres have equal area) the an­ti­di­ag­on­al.

Of course, one must spe­cify what “de­form” means. We dis­tin­guish sev­er­al equi­val­ence re­la­tions. As­sume that \( L,L^{\prime} \) are Lag­rangi­an sub­man­i­folds in a sym­plect­ic man­i­fold \( (M,\omega) \). We say that \( L,L^{\prime} \) are

  • ho­mo­log­ous if they rep­res­ent the same ho­mo­logy class in \( H_n(M;\mathbb{Z}) \);
  • smoothly iso­top­ic if there ex­ists a smooth path of sub­man­i­folds from \( L \) to \( L^{\prime} \);
  • Lag­rangi­an iso­top­ic if there ex­ists a smooth path of Lag­rangi­an sub­man­i­folds from \( L \) to \( L^{\prime} \);
  • Hamilto­ni­an iso­top­ic if there ex­ists a Hamilto­ni­an iso­topy \( \phi_t \) of \( (M,\omega) \) with \( \phi_0 = \text{id} \) and \( \phi_1(L) = L^{\prime} \).

In Sec­tions 2 and 3 we will look at Lag­rangi­an un­knots and knots with re­spect to these equi­val­ence re­la­tions. In Sec­tion 4 we look at Lag­rangi­an em­bed­dings that are not reg­u­larly ho­mo­top­ic through Lag­rangi­an im­mer­sions.

One could also ask that \( L \) and \( L^{\prime} \) come with a para­met­riz­a­tion, and that the above equi­val­ence re­la­tions take in­to ac­count the para­met­riz­a­tion, but we will only look at un­para­met­rized Lag­rangi­ans.

Motivation

Lag­rangi­an sub­man­i­folds arise in sym­plect­ic to­po­logy on sev­er­al oc­ca­sions: in­vari­ant tori of clas­sic­al mech­an­ics, real parts of com­plex man­i­folds equipped with a Kähler form, and graphs of sym­plect­ic dif­feo­morph­isms. The prob­lem of Lag­rangi­an knots was to some ex­tent mo­tiv­ated by these areas.

To il­lus­trate the con­nec­tion with math­em­at­ic­al phys­ics, re­call that in ([e7], Sec­tion 9) Arnold em­phas­ized (in a da­daist man­ner typ­ic­al for him) that “such nat­ur­al prob­lems and the­or­ems of sym­plect­ic to­po­logy as the prob­lem of Lag­rangi­an knots…were dis­covered only as a res­ult of ex­per­i­ments in laser op­tics and the ana­lys­is of the vari­ation­al prin­ciples of Per­civ­al, Au­bri, and oth­ers, con­nec­ted with the the­ory of cor­ro­sion.”

The coun­ter­part of Lag­rangi­an sub­man­i­folds in com­plex ana­lys­is are totally real sub­man­i­folds \( L \) of Kähler man­i­folds \( (M,J) \), i.e., those sub­man­i­folds \( L \) for which \( JT_xL \) is trans­verse to \( T_xL \) for every \( x \in L \). Giv­en a Kähler form \( \omega \) with as­so­ci­ated Rieman­ni­an met­ric \( \omega(\xi,J\eta) \) on \( M \), the Lag­rangi­an sub­man­i­folds are char­ac­ter­ized by the fact that \( JT_xL \) is or­tho­gon­al to \( T_xL \). If we re­quire the angle between \( JT_xL \) and \( T_xL \) to lie in \( (\pi/2-\varepsilon, \pi/2] \), then the cor­res­pond­ing class of sub­man­i­folds sat­is­fies an \( h \)-prin­ciple, i.e., is flex­ible: Any two such “\( \varepsilon \)-Lag­rangi­an em­bed­dings” are iso­top­ic through \( \varepsilon \)-Lag­rangi­an em­bed­dings; see [e6]1 and also the In­trigue E1 in the sem­in­al book [17] by Cieliebak, Eli­ash­berg and Mis­hachev. Thus ri­gid­ity can (and does!) ap­pear only for Lag­rangi­an sub­man­i­folds, i.e., when the angle is \( \pi/2 \) every­where.

Fi­nally, if we think on Lag­rangi­ans as gen­er­al­ized morph­isms in the sym­plect­ic cat­egory, the coun­ter­part of the prob­lem of Lag­rangi­an knots is the de­scrip­tion of the sym­plect­ic map­ping class group, i.e., the group formed by the set of con­nec­ted com­pon­ents of the sym­plec­to­morph­ism group. It is worth men­tion­ing here that the square of Seidel’s fam­ous Dehn twist of \( T^*S^2 \) takes each fiber \( F \) of the co­tan­gent bundle to an exot­ic “fiber” \( F^{\prime} \) that co­in­cides with \( F \) out­side a com­pact sub­set and is iso­top­ic to \( F \) by a smooth com­pactly sup­por­ted iso­topy which, however, can­not be made Hamilto­ni­an [e13].

While be­ing for­mu­lated in the early hero­ic peri­od of sym­plect­ic to­po­logy, the prob­lem of Lag­rangi­an knots re­mains widely open un­til now. With these mo­tiv­a­tions at hand, let us dis­cuss some res­ults and open prob­lems.

2. Unknots

The first res­ult on Lag­rangi­an un­knots is Eli­ash­berg’s the­or­em from [5] on Lag­rangi­an cyl­in­ders: In the stand­ard \( (\mathbb{R}^4, \omega_0) \) with co­ordin­ates \( x_1,y_1,x_2,y_2 \) con­sider the straight Lag­rangi­an cyl­in­der \[ L_0 = \{ x_1^2+y_1^2 = 1,\, x_2=0,\, 0 \leq y_2 \leq 1 \} \] con­nect­ing the two hy­per­planes \( \Pi_j = \{ y_2 = j\} \), \( j=0,1 \). Let \( U \) be the re­gion bounded by \( \Pi_0 \) and \( \Pi_1 \).

The­or­em 1: Every Lag­rangi­an cyl­in­der \( L \) in \( U \) that agrees with \( L_0 \) near the bound­ary is Hamilto­ni­an iso­top­ic to \( L_0 \) in­side \( U \).
Figure 1. The symplectomorphism \( \widetilde \varphi \) from the filling of \( L_0 \) to the filling of \( L \).

Rough out­line of a proof. The key tech­nique in the proof is filling with pseudo­holo­morph­ic discs (\( J \)-discs, for short), which was de­veloped by Gro­mov [e5] and Eli­ash­berg [2]; see Geiges’ art­icle in this volume. A filling of the cyl­in­der \( L \) by \( J \)-discs is a smooth fam­ily \( D_{t \in [0,1]} \) of com­pact, em­bed­ded, and dis­joint \( J \)-holo­morph­ic discs whose bound­ary circles fo­li­ate \( L \). For the straight cyl­in­der \( L_0 \), the ex­ist­ence of a filling for the stand­ard \( J \) is ob­vi­ous. If one can find a filling of \( L \), it is clear that \( L_0 \) and \( L \) are smoothly iso­top­ic, and a few more beau­ti­ful and ele­ment­ary geo­met­ric ar­gu­ments in ([5], Sec­tion 2.5), some of which we re­peat be­low, im­ply that one can find a Lag­rangi­an iso­topy in \( \mathbb{R}^4 \). Since the sym­plect­ic areas of all non-con­tract­ible closed em­bed­ded curves on the two cyl­in­ders are \( \pi \), this iso­topy can then be in­cluded in­to a Hamilto­ni­an iso­topy. These ar­gu­ments also show that if the filling discs \( D_t \) lie in \( U \), then the Hamilto­ni­an iso­topy can be taken with sup­port in \( U \). While this prop­erty of the \( D_t \) is not clear for the filling con­struc­ted in [5], it does hold for a filling ob­tained by neck stretch­ing, as ex­plained to us by Eli­ash­berg: Choose \( A \) so large that the non­stand­ard Lag­rangi­an cyl­in­der \( L \) is con­tained in \( \{ (z_1,z_2) \mid \pi |z_1|^2 \leq A \} \), where \( z_j = x_j+iy_j \). Then com­pac­ti­fy the disc of area \( A \) in \( \{ (z_1,0) \} \) to \( \mathbb{C}\mathrm{P}^1 \). So \( \mathbb{C}\mathrm{P}^1 \) is di­vided in­to two discs, a small one of area 1, and a big one of area \( A-1 \). Now we do neck stretch­ing along the bound­ary of a little disc bundle \( D^*_{\varepsilon} L \) in \( T^*L \), as in ([9], Sec­tions 1.3–1.4) or ([e36], Sec­tion 2). En­dow the cyl­in­der \( L \) with the flat met­ric, so that we know the closed geodesics. With the right choice of the neck stretch­ing fam­ily \( J_s \), each holo­morph­ic sphere in the class \( [\mathbb{C}\mathrm{P}^1] \) in \( \mathbb{C}\mathrm{P}^1 \times \mathbb{C} \) breaks in­to an in­ner disc in \( D^*_{\varepsilon} L \) asymp­tot­ic to a closed geodes­ic, a straight cyl­in­der in the sym­plect­iz­a­tion part, and an out­er disc. We also choose \( J_s \) such that the unit discs in \( \{ (z_1,0,j) \} \subset \Pi_j \), \( j=0,1 \), are holo­morph­ic. Then com­pac­ti­fic­a­tions of the in­ner discs form a filling of \( L \) by \( J \)-discs con­tained in \( U \).

De­note the giv­en Lag­rangi­an em­bed­ding \[ L_0 = \{ |z_1| = 1, \, x_2=0,\, 0 \leq y_2 \leq 1 \} \to L \] by \( \varphi \). From this filling one con­structs a sym­plect­ic em­bed­ding \( \widetilde \varphi : W_1 \to U \) that ex­tends \( \varphi \) to the full cyl­in­der \[ W_1 = \{ |z_1| \leq 1, \, x_2=0,\, 0 \leq y_2 \leq 1 \} \] filling \( L_0 \) and that is the iden­tity near the discs \( \{ y_2 =0\} \) and \( \{ y_2=1 \} \). After ap­ply­ing a Hamilto­ni­an iso­topy sup­por­ted in \( U \), we can as­sume that \( \widetilde \varphi \) is the iden­tity on a thin full cyl­in­der \[ W_{\varepsilon} = \{ |z_1| \leq \varepsilon, \, x_2=0,\, 0 \leq y_2 \leq 1 \} . \] Now take for \( t \in [\varepsilon, 1] \) the res­cal­ing \[ c_t : (x_1,y_1,x_2,y_2) \mapsto (t x_1, t y_1, t^2 x_2, y_2) . \] It is a dif­feo­morph­ism of \( U = \{ 0 \leq y_2 \leq 1\} \) such that \( c_t^* \omega_0 = t^2 \omega_0 \). The maps \[ \widetilde \varphi_t := c_t^{-1} \circ \widetilde \varphi \circ c_t, \quad t \in [\varepsilon, 1], \] are sym­plect­ic em­bed­dings \( W_1 \to U \) that are the iden­tity near the discs \( \{ y_2 =0\} \) and \( \{ y_2=1 \} \) and such that \( \widetilde \varphi_\varepsilon = \text{id} \) and \( \widetilde \varphi_1 = \widetilde \varphi \). Re­strict­ing to \( \partial W_1 = L_0 \) we ob­tain the sought-after Lag­rangi­an iso­topy from \( L_0 \) to \( L \) that fixes a neigh­bor­hood of the bound­ary and is sup­por­ted in \( U \).

For every Lag­rangi­an cyl­in­der \( L \) as above define its “un­knot­ting size” \( x_2 (L) \) as the smal­lest num­ber \( s \) such that there ex­ists a Hamilto­ni­an iso­topy from \( L \) to \( L_0 \) with sup­port in \( U \cap \{|x_2| \leq s \} \). Note that \( x_2(L) \geq \min \{ s \mid L \subset \{ |x_2| \leq s\}\} \) and that \( x_2(L) =0 \) only if \( L=L_0 \).

Open Prob­lem 1: What can be said about \( x_2(L) \)?

In [5], Eli­ash­berg con­struc­ted the filling of \( L \) by first de­form­ing the sym­plect­ic form \( \omega_0 \) to one for which \( L \) be­comes sym­plect­ic. This idea was used many times later on and in par­tic­u­lar in the proof of the fol­low­ing the­or­em of Eli­ash­berg and Pol­ter­ovich [3] and also in the proof of The­or­em 4 be­low.

The­or­em 2: (Smooth unknottedness in \( T^*S^2 \) and \( T^*T^2 \)) As­sume that \( \Sigma \) is the 2-sphere or the 2-tor­us. Then every em­bed­ded Lag­rangi­an sur­face \( L \subset T^*\Sigma \) that is ho­mo­log­ous to the zero sec­tion is smoothly iso­top­ic to the zero sec­tion.

This the­or­em was im­proved much later: Note that every Lag­rangi­an iso­topy of a 2-sphere ex­tends to a Hamilto­ni­an iso­topy, while this is not so for tori. A Lag­rangi­an \( L \subset T^*L \) is called ex­act if the re­stric­tion of the Li­ouville form \( \sum_j p_j \, dq_j \) to \( L \) is ex­act. Such Lag­rangi­ans have a chance to be Hamilto­ni­an iso­top­ic to the zero-sec­tion, and in fact Arnold had already con­jec­tured in [e7] that this is al­ways the case. Stay­ing with sur­faces here, we refer to [e37] for the so far best gen­er­al res­ult on this “nearby Lag­rangi­an con­jec­ture” in any di­men­sion.

The­or­em 3: (Hamiltonian uniqueness in \( T^*S^2 \) and \( T^*T^2 \))
  1. Every Lag­rangi­an sphere in \( T^*S^2 \) is Hamilto­ni­an iso­top­ic to the zero-sec­tion (Hind [e26]).
  2. Every ex­act Lag­rangi­an tor­us in \( T^*T^2 \) is Hamilto­ni­an iso­top­ic to the zero-sec­tion (Dimitroglou Rizell, Goodman, and Ivrii [e33]).

Hamilto­ni­an unique­ness also holds for \( \mathbb{R}\mathrm{P}^2 \) in \( T^*\mathbb{R}\mathrm{P}^2 \) (Hind, Pin­son­nault, and Wu [e32], as well as Ada­lo­glou [e41]), and sim­il­arly every Lag­rangi­an sphere in the product of two 2-spheres of equal area is Hamilto­ni­an iso­top­ic to the an­ti­di­ag­on­al (Hind [e16]). The proofs of these res­ults all use the stretch­ing the neck tech­nique and the com­pact­ness the­or­em in sym­plect­ic field the­ory from Eli­ash­berg, Givent­al, and Hofer [9], and Bour­geois, Eli­ash­berg, Hofer, Wyso­cki, and Zehnder [11].

The first at­tempt to cre­ate a Lag­rangi­an knot is cer­tainly to take a Lag­rangi­an \( L \) and to modi­fy it near a point. This can­not work in view of the fol­low­ing res­ult of Eli­ash­berg and Pol­ter­ovich [6].

The­or­em 4: (Local unknottedness) Let \( L \) be a Lag­rangi­an sub­man­i­fold of \( \mathbb{R}^4 \) that is dif­feo­morph­ic to a plane and co­in­cides with a Lag­rangi­an plane \( L_0 \) out­side a com­pact sub­set. Then there ex­ists a com­pactly sup­por­ted Hamilto­ni­an iso­topy tak­ing \( L \) to \( L_0 \).

We here give an out­line of the proof from [6]. An­oth­er ar­gu­ment can be found in the ap­pendix by Geor­gios Di­mitro­glou Rizell.

The main dif­fi­culty is that one can­not fill by discs a Lag­rangi­an plane. To re­solve it, we in­tro­duce an aux­il­i­ary ob­ject, a totally real cyl­in­der \( C \) ly­ing in a hy­per­plane \( E \subset \mathbb{R}^4=\mathbb{C}^2 \). This cyl­in­der is part of the fol­low­ing loc­al mod­el. The cyl­in­der \( C \) splits \( E \) in­to an in­ner sol­id cyl­in­der \( E_{\mathrm{in}} \) and its com­ple­ment \( E_{\mathrm{out}} \). Fix a Lag­rangi­an plane \( L_0 \subset E \) that in­ter­sects \( E_{\mathrm{in}} \) in a disc \( \Delta_0 \). There ex­ists a “plug” \( F_0 = D^2 \times (-\varepsilon,\varepsilon) \subset E_{\mathrm{in}} \) which con­tains \( \Delta_0 \) and such that the discs \( D^2 \times \{\text{point}\} \) are af­fine and sym­plect­ic. The plug is plot­ted on Fig­ure 2.I, where the discs ap­pear in green. For a zoomed out ver­sion see Fig­ure 2.II.

Figure 2. Local unknottedness — comics.

As­sume now that \( L \) is a Lag­rangi­an knot co­in­cid­ing with \( L_0 \) out­side a neigh­bor­hood of the cen­ter of \( \Delta_0 \). The cyl­in­der \( C \) splits \( L \) in­to a knot­ted sub­disc \( \Delta \), and its com­ple­ment, which co­in­cides with \( L_0 \cap E_{\mathrm{out}} \). By Wein­stein’s Lag­rangi­an tu­bu­lar neigh­bor­hood the­or­em we can “in­sert” the plug, now called \( F \), by a sym­plect­ic em­bed­ding to a tiny neigh­bor­hood of \( \Delta \) (see Fig­ure 2.III). By the filling by pseudo­holo­morph­ic discs tech­nique (ap­plied to a care­fully chosen al­most com­plex struc­ture on \( \mathbb{R}^4 \)) we ex­tend the fo­li­ation on \( F \) by sym­plect­ic discs to a filling of the whole cyl­in­der \( C \).

Next we design a pseudo­con­vex lens (see Fig­ure 2.IV) whose faces are suit­able de­form­a­tions of \( E_{\mathrm{in}} \) with fixed bound­ary. Its in­teri­or con­tains the discs from the filling, and the pseudo­con­vex­ity provides a con­trol on the geo­metry of their bound­ar­ies. This en­ables us to glue these discs with a nat­ur­al fam­ily of punc­tured sym­plect­ic planes in \( E_{\mathrm{out}} \), yield­ing a fam­ily of sym­plect­ic man­i­folds dif­feo­morph­ic to \( \mathbb{R}^2 \).

These sym­plect­ic planes fo­li­ate a hy­per­sur­face \( Q \subset \mathbb{R}^4 \) con­tain­ing the knot \( L \). Fur­ther­more, this fo­li­ation is stand­ard at in­fin­ity. The char­ac­ter­ist­ics of \( Q \) are trans­verse to the planes of the fo­li­ation, and hence have a very simple dy­nam­ics. We un­knot \( L \) by us­ing this dy­nam­ics as fol­lows. For a curve \( \ell \subset Q \) de­note by \( \Gamma(\ell) \) the uni­on of char­ac­ter­ist­ics passing through \( \ell \) (see Fig­ure 2.V). One eas­ily rep­res­ents the knot \( L \) as \( \Gamma(\ell_0) \) for some line \( \ell_0 \subset Q \). Now move \( \ell_0 \) in the dir­ec­tion “or­tho­gon­al” to \( L \) to a line \( \ell_1 \) which is suf­fi­ciently re­mote from \( \ell_0 \). This fam­ily of lines \( \ell_t \) gives a de­sired Lag­rangi­an iso­topy \( \Gamma (\ell_t) \) of \( L \) to an (af­fine!) Lag­rangi­an plane \( L_1 = \Gamma(\ell_1) \). This com­pletes the out­line of the proof of The­or­em 4.

Côté and Di­mitro­glou Rizell [e46] ex­ten­ded The­or­em 4 to co­tan­gent fibers over open sur­faces of fi­nite type. Re­call, however, that the ana­log­ous state­ment fails for co­tan­gent fibers over \( S^2 \) by Seidel’s the­or­em from [e13].

Open Prob­lem 2: Does the ana­logue of The­or­em 4 hold for co­tan­gent fibers over closed sur­faces of pos­it­ive genus?

The fol­low­ing prob­lem is wide open.

Open Prob­lem 3: Does The­or­em 4 ex­tend to high­er di­men­sions?

For the weak­er res­ult that \( L \) as in The­or­em 4 is smoothly iso­top­ic to \( L_0 \) a much easi­er proof can be giv­en; see [7]. In high­er di­men­sions \( n \geq 4 \), a smooth iso­topy from \( L \) to \( L_0 \) ex­ists since then any two em­bed­dings of \( S^n \) in­to \( S^{2n} \) are smoothly iso­top­ic [e1]. But there do ex­ist em­bed­dings of \( S^3 \) in­to \( S^6 \) that are not iso­top­ic to the stand­ard em­bed­ding [e2], and we do not know if one of these em­bed­dings can be used to give a neg­at­ive an­swer to Open Prob­lem 3.

A some­what less loc­al ver­sion of Lag­rangi­an knot in \( \mathbb{R}^4 \) would be a com­pact knot in \( \mathbb{R}^4 \), which one could then map in­to oth­er sym­plect­ic man­i­folds by Dar­boux charts. The tor­us is the only closed ori­ent­able sur­face that ad­mits Lag­rangi­an em­bed­dings in­to \( \mathbb{R}^4 \). The first as­ser­tion of the fol­low­ing res­ult, again from [e33], shows that up to Lag­rangi­an iso­topy such loc­al knots do not ex­ist either.

The­or­em 5:
  1. All Lag­rangi­an tori in \( \mathbb{R}^4 \) are Lag­rangi­an iso­top­ic.
  2. The same holds true in \( \mathbb{C}\mathrm{P}^2 \) and in the product \( S^2 \times S^2 \) of spheres of equal area.

3. Knots

By The­or­em 4, Lag­rangi­an knots can only be ob­tained by some glob­al con­struc­tion. By now, Lag­rangi­an knots are known “at all levels”: ho­mo­log­ous but not smoothly iso­top­ic, smoothly iso­top­ic but not Lag­rangi­an iso­top­ic, Lag­rangi­an iso­top­ic but not Hamilto­ni­an iso­top­ic:

The fol­low­ing res­ults show that The­or­ems 2 and 3 do not hold for all sym­plect­ic 4-man­i­folds.

The­or­em 6:
  1. There ex­ist simply con­nec­ted sym­plect­ic 4-man­i­folds (for in­stance the plumb­ing of two cop­ies of \( T^*S^2 \)) that con­tain in­fin­itely many smoothly iso­top­ic Lag­rangi­an spheres which are pair­wise not Lag­rangi­an iso­top­ic (Seidel [e13]).
  2. There ex­ist simply con­nec­ted sym­plect­ic 4-man­i­folds that con­tain in­fin­itely many ho­mo­log­ous Lag­rangi­an tori which are pair­wise not smoothly iso­top­ic (Vidussi [e18]).

By The­or­em 5(i), the only pos­sib­il­ity left for a com­pact ori­ent­able Lag­rangi­an knot in \( \mathbb{R}^4 \) is a tor­us that is not Hamilto­ni­an iso­top­ic to a product tor­us. Such a tor­us was con­struc­ted by Chekan­ov in [e12]. His ex­ample was the first Lag­rangi­an knot found. We here de­scribe the Chekan­ov tor­us in the form giv­en by Eli­ash­berg and Pol­ter­ovich in [7]; see also Chekan­ov and Schlenk [e25]. Take any closed curve \( \gamma (t) \) in \( \mathbb{R}^2 \) that is con­tained in an open half-plane and en­closes area 1. Then view \( \mathbb{R}^2 \) as the com­plex di­ag­on­al of \( \mathbb{C}^2 \), and sweep the curve \( \gamma \) by the an­ti­di­ag­on­al \( S^1 \)-ac­tion, \begin{equation} \label{def:Ch} \Theta := \biggl\{ \frac{1}{\sqrt 2} ( e^{2\pi i \vartheta} \gamma (t), e^{- 2\pi i \vartheta} \gamma (t) ) \biggr\} . \end{equation} Then \( \Theta \) is a Lag­rangi­an tor­us in \( \mathbb{R}^4 \). We will see later that \( \Theta \) does not de­pend on the pre­cise choice of the curve \( \gamma \).

Let us re­call the no­tion of mono­ton­icity: For every Lag­rangi­an sub­man­i­fold \( L \subset (M,\omega) \) there are two ho­mo­morph­isms on the re­l­at­ive ho­mo­topy group \( \pi_2(M,L) \), namely the area class, which meas­ures the sym­plect­ic area of a rep­res­ent­ing disc, and the Maslov class, which meas­ures how much \( TL \) twists along the bound­ary of a disc re­l­at­ive to the sym­plect­ic struc­ture. For in­stance, the Maslov in­dex (i.e., the value of the Maslov class) of a disc in \( \mathbb{C} \) is 2, since the tan­gent lines to the bound­ary circle make two full turns re­l­at­ive to a fixed dir­ec­tion if we go around the bound­ary circle once. A Lag­rangi­an sub­man­i­fold is called mono­tone if these two ho­mo­morph­isms are pos­it­ively pro­por­tion­al. In­tu­it­ively, mono­tone Lag­rangi­ans are “sym­met­ric”: there is a bal­ance between the sym­plect­ic size and the sym­plect­ic twist­ing. For in­stance, a product tor­us \( T(a,b) \subset \mathbb{C}^2 \) con­sist­ing of two circles en­clos­ing area \( a \) and \( b \) is mono­tone if and only if \( a=b \). And \( \Theta \) is also mono­tone.

In [e12], the tor­us \( \Theta \) was dis­tin­guished from the mono­tone product tor­us \( \mathbf{T} := T(1,1) \) of equal area class by look­ing at the val­ues of a suit­able sym­plect­ic ca­pa­city at nearby tori. In [7], the dis­tinc­tion was done by the count of \( J \)-holo­morph­ic discs: Giv­en a closed Lag­rangi­an \( L \subset (M,\omega) \), fix a point \( p \) on \( L \), choose an \( \omega \)-com­pat­ible al­most com­plex struc­ture \( J \) on \( M \), and let \( \nu (L) \) be the num­ber of \( J \)-holo­morph­ic discs of Maslov in­dex 2 with bound­ary on \( L \) and passing through \( p \). If \( L \) is mono­tone, then Gro­mov’s com­pact­ness the­or­em im­plies that \( \nu (L) \) does not de­pend on the gen­er­ic choice of \( p \) and \( J \). Fur­ther­more, \( \nu \) is in­vari­ant un­der Hamilto­ni­an iso­top­ies.

We have \( \nu (\Theta) = 1 \) but \( \nu (\mathbf{T}) = 2 \). In­deed, for the stand­ard com­plex struc­ture on \( \mathbb{C}^2 \), the disc in the com­plex di­ag­on­al with bound­ary \( \{ (\gamma(t), \gamma (t))\} \) is unique, and for the product tor­us there are only the two co­ordin­ate discs. This count of Maslov in­dex 2 holo­morph­ic discs de­veloped in­to a power­ful in­vari­ant for Lag­rangi­an sub­man­i­folds, the so-called disc po­ten­tial.

To un­der­stand the dif­fer­ence between \( \mathbf{T} \) and \( \Theta \) more geo­met­ric­ally, we come back to the con­struc­tion of \( \Theta \) in [7], where \( \Theta \) was in­cluded in­to a non­stand­ard fibra­tion of \( \mathbb{R}^4 \) whose fibers are al­most all Lag­rangi­an tori. See also Sec­tion 7.1 on the Auroux sys­tem in Evans’ book [e45]. Take the Hamilto­ni­an \begin{equation} \label{e:H} H : \mathbb{C}^2 \to \mathbb{R}, \quad (z_1,z_2) \mapsto \pi ( |z_1|^2-|z_2|^2 ), \end{equation} as well as the map \begin{equation} \label{e:F} F : \mathbb{C}^2 \to \mathbb{C}, \quad (z_1,z_2) \mapsto z_1 z_2 . \end{equation} For every \( a \in \mathbb{R} \) and every simple closed curve \( \gamma \subset \mathbb{C} \) set \begin{equation} \label{e:Tag} T_a(\gamma) := \{ (z_1,z_2) \mid H(z_1,z_2) = a, \, F(z_1,z_2) \in \gamma \} . \end{equation} These sets are all in­vari­ant un­der the \( S^1 \)-ac­tion \[ (z_1,z_2) \mapsto (e^{2\pi i \vartheta}z_1, e^{-2\pi i \vartheta} z_2) \] gen­er­ated by \( H \). If \( a \neq 0 \) or if \( 0 \notin \gamma \), then \( T_a(\gamma) \) is a Lag­rangi­an tor­us, but if \( a=0 \) and \( 0 \in \gamma \), then \( T_a(\gamma) \) is an im­mersed Lag­rangi­an 2-sphere (the Whit­ney sphere), which can be visu­al­ized as a “crois­sant” or as a pinched tor­us. If we fo­li­ate \( \mathbb{C} \) by nes­ted loops and one point, then we ob­tain a fo­li­ation of \( \mathbb{C}^2 \) by Lag­rangi­an tori, one pinched tor­us, and a cyl­in­der over the point. This “al­most tor­ic fibra­tion” was taken up later by Auroux in [e19] in the con­text of mir­ror sym­metry, and we shall en­counter it soon again for the con­struc­tion of exot­ic tori in \( \mathbb{C}\mathrm{P}^2 \).

Take \( a=0 \) and look at curves \( \gamma \) en­clos­ing area \( 1/\pi \). If \( \gamma_1, \gamma_2 \) are such curves go­ing around the ori­gin 0, we can take a Hamilto­ni­an iso­topy mov­ing \( \gamma_1 \) to \( \gamma_2 \) in \( \mathbb{C} \setminus \{0\} \), and then use the \( S^1 \)-ac­tion to lift this iso­topy to a Hamilto­ni­an iso­topy of \( \mathbb{R}^4 \) that moves \( T_0(\gamma_1) \) to \( T_0(\gamma_2) \). Since for \( \gamma \) the circle centered at 0 we have \( T_0(\gamma) = \mathbf{T} \), all such tori are Hamilto­ni­an iso­top­ic to the Clif­ford tor­us \( \mathbf{T} \). Sim­il­arly, any such curve \( \gamma \) not go­ing around 0 yields a tor­us \( T_0(\gamma) \) that is Hamilto­ni­an iso­top­ic to the Chekan­ov tor­us \( \Theta \). On the oth­er hand, if \( \gamma_1 \) goes around the ori­gin while \( \gamma_2 \) does not, then a Hamilto­ni­an iso­topy from \( \gamma_1 \) to \( \gamma_2 \) must cross 0 and hence does not lift to a Hamilto­ni­an iso­topy from \( T_0(\gamma_1) \) to \( T_0(\gamma_2) \): The lif­ted tori de­gen­er­ate to a pinched tor­us along the de­form­a­tion and hence we do not ob­tain an iso­topy of em­bed­ded Lag­rangi­an tori. This is in ac­cord­ance with the fact proven above that there is no Hamilto­ni­an iso­topy from \( T_0(\gamma_1) \) to \( T_0(\gamma_2) \) at all.

It is still an open ques­tion wheth­er in \( \mathbb{R}^4 \) the Chekan­ov tor­us is the only mono­tone Lag­rangi­an knot:

Open Prob­lem 4: Is every mono­tone Lag­rangi­an tor­us in \( \mathbb{R}^4 \) Hamilto­ni­an iso­top­ic to (a scal­ing of) the Clif­ford tor­us or the Chekan­ov tor­us?

The Chekan­ov tor­us \( \Theta \) nat­ur­ally sits as a mono­tone tor­us in \( \mathbb{C}\mathrm{P}^2 \) and in \( S^2 \times S^2 \): To have it mono­tone we must scale the Fu­bini–Study form to in­teg­rate to 3 over the com­plex line, and we must take spheres of area 2. These man­i­folds are com­pac­ti­fic­a­tions of the open ball \( B^4(3) \) of ca­pa­city \( \pi r^2=3 \) and of the product of two discs \( D(2) \) of area 2. If we choose the curve \( \gamma \) en­clos­ing area 1 in the con­struc­tion of \( \Theta \) in the half-disc of area \( 3/2 \), then in­deed \( \Theta \subset B^4(3) \cap D(2) \times D(2) \). This is best seen on the im­age of the mo­ment map \[ \mu : \mathbb{C}^2 \to \mathbb{R}_{\geq 0}^2, \quad \mu (z_1,z_2) = ( \pi |z_1|^2, \pi |z_2|^2 ) \] that gen­er­ates the stand­ard Hamilto­ni­an tor­us ac­tion \begin{equation} \label{e:T2} (z_1,z_2) \mapsto ( e^{2\pi i\vartheta_1} z_1, e^{2\pi i \vartheta_2} z_2 ) ; \end{equation} see Fig­ure 3. These mono­tone Lag­rangi­an tori in \( \mathbb{C}\mathrm{P}^2 \) and \( S^2 \times S^2 \) are, again, not Hamilto­ni­an iso­top­ic to the mod­el tori (i.e., the Clif­ford tor­us and the product of equat­ors); see [e25]. In con­trast to \( \mathbb{R}^4 \), however, in these com­pact man­i­folds many more Hamilto­ni­an iso­topy classes of mono­tone Lag­rangi­an tori are known! The fol­low­ing res­ult should also be com­pared with The­or­em 5(ii).

Figure 3. The images under \( \mu \) of \( \Theta \) and \( \mathbf{T} \) in \( B^4(3) \cap D(2) \times D(2) \).

The Chekan­ov tor­us \( \Theta \) nat­ur­ally sits as a mono­tone tor­us in \( \mathbb{C}\mathrm{P}^2 \) and in \( S^2 \times S^2 \): To have it mono­tone we must scale the Fu­bini–Study form to in­teg­rate to 3 over the com­plex line, and we must take spheres of area 2. These man­i­folds are com­pac­ti­fic­a­tions of the open ball \( B^4(3) \) of ca­pa­city \( \pi r^2=3 \) and of the product of two discs \( D(2) \) of area 2. If we choose the curve \( \gamma \) en­clos­ing area 1 in the con­struc­tion of \( \Theta \) in the half-disc of area \( 3/2 \), then in­deed \( \Theta \subset B^4(3) \cap D(2) \times D(2) \). This is best seen on the im­age of the mo­ment map \[ \mu : \mathbb{C}^2 \to \mathbb{R}_{\geq 0}^2, \quad \mu (z_1,z_2) = ( \pi |z_1|^2, \pi |z_2|^2 ) \] that gen­er­ates the stand­ard Hamilto­ni­an tor­us ac­tion \begin{equation} (z_1,z_2)\mapsto ( e^{2\pi i\vartheta_1} z_1, e^{2\pi i \vartheta_2} z_2 ) ; \end{equation} see Fig­ure 3. These mono­tone Lag­rangi­an tori in \( \mathbb{C}\mathrm{P}^2 \) and \( S^2 \times S^2 \) are, again, not Hamilto­ni­an iso­top­ic to the mod­el tori (i.e., the Clif­ford tor­us and the product of equat­ors); see [e25]. In con­trast to \( \mathbb{R}^4 \), however, in these com­pact man­i­folds many more Hamilto­ni­an iso­topy classes of mono­tone Lag­rangi­an tori are known! The fol­low­ing res­ult should also be com­pared with The­or­em 5(ii).

The­or­em 7: There are in­fin­itely many Hamilto­ni­an iso­topy classes of mono­tone Lag­rangi­an tori in \( \mathbb{C}\mathrm{P}^2 \) and in the product \( S^2 \times S^2 \) of spheres of equal area.

These tori were pre­dicted by Galkin and Us­nich [e22] by a mir­ror-sym­metry ar­gu­ment, and they were in­de­pend­ently con­struc­ted by Vi­anna [e31], [e34] and by Galkin and Mikhalkin [e42] in two dif­fer­ent ways: As the cent­ral fibers of al­most tor­ic fibra­tions, and as the tori ob­tained from the cent­ral fiber of cer­tain weighted pro­ject­ive planes after a smooth­ing. We briefly out­line both ap­proaches.

Almost toric fibrations
The pro­ject­ive plane \( \mathbb{C}\mathrm{P}^2 \) car­ries a “best Lag­rangi­an fibra­tion”: View­ing \( \mathbb{C}\mathrm{P}^2 \) as the com­pac­ti­fic­a­tion of the open ball \( B^4(3) \) by a sphere \( \mathbb{C}\mathrm{P}^1 \) at in­fin­ity, the Hamilto­ni­an tor­us ac­tion (5) ex­tends to \( \mathbb{C}\mathrm{P}^2 \). The im­age of \( \mathbb{C}\mathrm{P}^2 \) un­der the ex­ten­ded mo­ment map is the closed tri­angle \( \Delta \) shown in Fig­ure 5.I be­low. The fiber over an in­teri­or point is a Lag­rangi­an 2-tor­us, while the fibers over the edges and ver­tices are circles and points, re­spect­ively. The only mono­tone fiber is the one over the red cen­ter point; it is the Clif­ford tor­us.

To find knot­ted mono­tone Lag­rangi­an tori, we look at “worse” fibra­tions, which have more com­plic­ated sin­gu­lar­it­ies than the tor­ic fibra­tion. An al­most tor­ic fibra­tion (ATF for short) of \( \mathbb{C}\mathrm{P}^2 \) is the “next best” kind of fibra­tion: Some of its fibers are im­mersed Lag­rangi­an spheres with one double point, i.e., pinched tori like the above \( T_0 (\gamma) \) for a simple closed curve \( \gamma \) through the ori­gin. \( \mathbb{C}\mathrm{P}^2 \) ad­mits many AT­Fs. The simplest one has one pinched tor­us but one point fiber less than the stand­ard fibra­tion. The pas­sage to this new fibra­tion is called nod­al trade and was first de­scribed by Sym­ing­ton in [e15] and then in great de­tail in Evans’ mono­graph [e45]. We here give a more dir­ect de­scrip­tion.

We take up the ATF of \( \mathbb{R}^4 \) con­struc­ted above, and re­strict it to the 4-ball \begin{equation*} \let\\ \cr \eqalign{ U &= \{ (z_1,z_2) \in \mathbb{C}^2 \mid - \varepsilon \leq H(z_1,z_2) \leq \varepsilon, \, |F(z_1,z_2)| \leq r \} \\ &= \{ (z_1,z_2) \in \mathbb{C}^2 \mid - \varepsilon \leq \rho_1-\rho_2 \leq \varepsilon, \, \rho_1 \rho_2 \leq \pi^2 r^2 \}, } \end{equation*} where \( H \) and \( F \) are giv­en by (2) and (3), where \( \varepsilon, r > 0 \) and where we use ac­tion vari­ables \( \rho_j = \pi |z_j|^2 \). We now fo­li­ate the disc \( D(r) \subset \mathbb{C} \) of ra­di­us \( r \) by simple closed curves and the point \( p \neq 0 \) as in Fig­ure 4. Near the bound­ary, the leaves are con­cent­ric circles. This yields an ATF on \( U \) whose fibers are the Lag­rangi­an tori \( T_a(\gamma) \) defined in (4) with \( -\varepsilon \leq a \leq \varepsilon \), one pinched tor­us \( T_0(\gamma_0) \), and the (in­ter­val of) circles over \( p \). As an aside, we note that by a res­ult of Di­mitro­glou Rizell [e38], any closed em­bed­ded or im­mersed Lag­rangi­an in \( U \setminus F^{-1}(p) \) with the same clas­sic­al in­vari­ants as a fiber is Hamilto­ni­an iso­top­ic to a fiber.

Figure 4. The region \( \mu(U) \) and the foliation of \( D(r) \).

Since \( H = \rho_1-\rho_2 \) is con­stant on each fiber \( T_a(\gamma) \), each fiber lies over a seg­ment \( L_\delta := \{\rho_1-\rho_2 = \delta \} \cap \mu(U) \) par­al­lel to the di­ag­on­al. Since the leaves of the fo­li­ation near the bound­ary of \( D(r) \) are con­cent­ric circles, over a neigh­bor­hood of the red curve \( \{ \rho_1 \rho_2 = \pi^2 r^2\} \cap \mu(U) \) our ATF agrees with the stand­ard tor­ic fibra­tion of \( \mathbb{R}^4 \) by product tori. In or­der to glue the en­tire ATF with the stand­ard tor­ic fibra­tion out­side \( U \), we modi­fy the ATF over the two yel­low bands. For \( \delta \in [\varepsilon/2, \varepsilon] \) con­sider the set \( \mu^{-1}(L_\delta) \), that is the uni­on of tori \( T_\delta (\gamma) \) and of one circle (over \( p \)). The \( S^1 \)-ac­tion re­stricts to a free \( S^1 \)-ac­tion on \( \mu^{-1}(L_\delta) \), and the re­duced space \( \mu^{-1}(L_\delta) / S^1 \) is a closed disc \( D_\delta \) that is fo­li­ated in two ways: by con­cent­ric circles and one point (com­ing from the stand­ard tor­ic fibra­tion re­stric­ted to \( L_\delta \)) and by the loops \( T_\delta (\gamma) / S^1 \) and one point. This second fo­li­ation \( {\mathcal F}_\delta \) also con­sists of nes­ted em­bed­ded loops and one point, and the two fo­li­ations agree near the bound­ary of \( D_\delta \).

Let \( \varphi_\delta \) be a smooth fam­ily of Hamilto­ni­an dif­feo­morph­isms of \( D_\delta \) with com­pact sup­port in the in­teri­or such that \( \varphi_\delta = \text{id} \) for \( \delta \in [\varepsilon/2, 2\varepsilon/3] \) and such that \( \varphi_\delta \) takes the fo­li­ation \( {\mathcal F}_\delta \) to the con­cent­ric fo­li­ation for \( \delta \in [3\varepsilon/4, \varepsilon] \). Lift­ing the im­age fo­li­ation of \( \varphi_\delta \) by the \( S^1 \)-ac­tion we ob­tain a new Lag­rangi­an fo­li­ation of \( \mu^{-1}(L_\delta) \). Ap­ply­ing the same con­struc­tion over the yel­low band near \( L_{-\varepsilon} \) we ob­tain an ATF on \( U \) that smoothly fits with the stand­ard tor­ic fibra­tion on the com­ple­ment of \( U \).

This change of the fibra­tion, the nod­al trade, is some­what schem­at­ic­ally rep­res­en­ted by Fig­ure 5.II: Out­side the blue re­gion \( \mu(U) \), the fibra­tion II agrees with the stand­ard fibra­tion in I. Over the blue re­gion, the lower left point fiber in I is traded against the node (double point) of the pinched tor­us, which lies over the green cross. The fibers over the two purple seg­ments are circles. These are the circles that (be­fore the above in­ter­pol­a­tion) were the circles over the point \( p \) in Fig­ure 4, and con­trary to what II sug­gests, the uni­on of these circle fibers is a smooth cyl­in­der. All oth­er fibers over the blue re­gion are Lag­rangi­an 2-tori. The dashed line in­dic­ates that the to­po­lo­gic­al mono­dromy of the \( T^2 \)-bundle over a circle around the cross is non­trivi­al.

Figure 5. From the toric fibration of \( \mathbb{C}\mathrm{P}^2 \) (I) to an almost toric fibration (II), and the first mutation (III and IV).

Re­call that the re­gion \( U = U_{\varepsilon,r} \) in the above con­struc­tion of the nod­al trade de­pends on para­met­ers \( \varepsilon,r > 0 \). We now take \( r \) so large that the base point of the pinched tor­us (the cross) lies on the oth­er side of the cent­ral point. The new ATF is shown in Fig­ure 5.III. Let’s call this seem­ingly harm­less op­er­a­tion a nod­al slide. For the cent­ral tor­us this op­er­a­tion is less harm­less: The tor­us over the red point in II is the Clif­ford tor­us of \( \mathbb{C}\mathrm{P}^2 \), while by our con­struc­tion the tor­us over the red point in III is the tor­us in \( \mathbb{C}\mathrm{P}^2 \) ob­tained as above from the Chekan­ov tor­us \( \Theta \subset B^4(3) \subset \mathbb{C}\mathrm{P}^2 \), and we already know that this tor­us is not Hamilto­ni­an iso­top­ic to the Clif­ford tor­us.

To bring in­to play Markov num­bers later on, we now de­scribe the ATF III of \( \mathbb{C}\mathrm{P}^2 \) in a dif­fer­ent way. Cut the tri­angle \( \Delta \) along the di­ag­on­al line spanned by the dashed ray \( R \) in­to the up­per and lower tri­angles \( \Delta_+ \) and \( \Delta_- \). Let \( S \) be the lin­ear trans­form­a­tion that is the iden­tity on the di­ag­on­al line and shears down \( \Delta_- \) as shown in Fig­ure 5.IV: \( S \) fixes \( v_1 \) and \( v_1^{\prime} \) and takes \( v_2 \) to \( v_2^{\prime} \). This yields a new tri­angle \( \Delta^{\prime} := \Delta_+ \cup S \Delta_- \). Com­ing back to III, let \( \Delta_{\mathrm{reg}} \) be the reg­u­lar part of \( \Delta \), namely the in­teri­or of \( \Delta \) de­prived from the point at the cross. Re­call that the mono­dromy of the \( T^2 \)-bundle over \( \Delta_{\mathrm{reg}} \) around the cross is not trivi­al. In fact, we can con­struct this \( T^2 \)-bundle by tak­ing the trivi­al \( T^2 \)-bundle over \( \Delta_{\mathrm{reg}} \setminus R \) and glu­ing the \( T^2 \)-fibers along \( R \) by the trans­pose of the in­verse of \( S \). The same ATF is de­scribed by IV, where the fibra­tions over \( \Delta_+ \) and \( S\Delta_- \) are glued as fol­lows: The non­trivi­al glu­ing of \( T^2 \)-fibers along \( R \) in III is now un­done and in­stead the non­trivi­al glu­ing is done over the short dashed ray \( R^{\prime} \) on the oth­er side of the cross. This pas­sage from III to IV is called trans­fer­ring the cut. While the fibra­tions in II and III are dif­fer­ent, those in III and IV are iso­morph­ic, they are just de­scribed over dif­fer­ent base tri­angles.

We ap­ply the nod­al trade op­er­a­tion de­scribed in I \( \to \) II also at the up­per and lower ver­tex of \( \Delta^{\prime} \). We can now do the same geo­met­ric muta­tion (nod­al slide fol­lowed by trans­fer­ring the cut) at any of the three ver­tices and then look at the tor­us over the red point. If we do a muta­tion at the newly cre­ated ver­tex \( v_1^{\prime} \) in IV, we just undo the pre­vi­ous muta­tion, and ob­tain again the Clif­ford tor­us. But if we do a muta­tion at \( v_2^{\prime} \) or \( v_3^{\prime}=v_3 \), we po­ten­tially ob­tain new tori. At any rate, geo­met­ric muta­tions pro­duce a trivalent tree \( \mathcal{T} \) of tri­angles with tori over the red cent­ral point: The ver­tices of \( \mathcal{T} \) are the tri­angles thus ob­tained, and two ver­tices of \( \mathcal{T} \) are con­nec­ted by an edge if and only if the two cor­res­pond­ing tri­angles are re­lated by one geo­met­ric muta­tion.

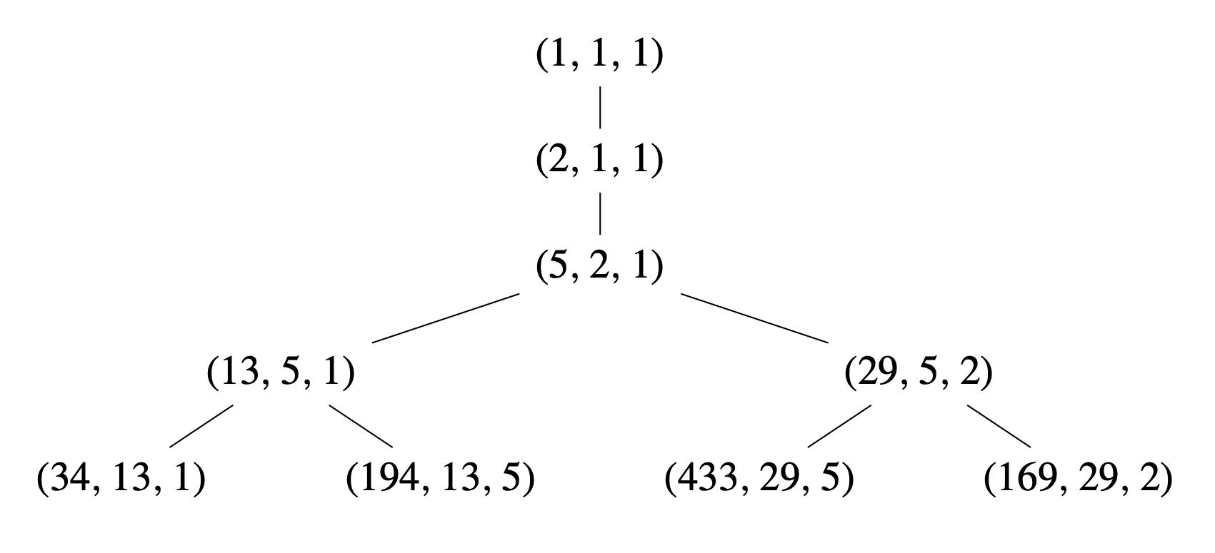
This tree of tri­angles \( \mathcal{T} \) can be matched with the Markov tree \( \mathcal{M} \), whose ver­tices are labeled by triples \( (a,b,c) \) of nat­ur­al num­bers that solve the Markov equa­tion \begin{equation} \label{e:markov} a^2 + b^2 + c^2 = 3abc. \end{equation} Giv­en any such solu­tion, three oth­er solu­tions can be ob­tained by keep­ing two num­bers and re­pla­cing the third one, say \( a \), by \( 3bc-a \). Start­ing from \( (1,1,1) \), these al­geb­ra­ic muta­tions cre­ate the trivalent tree of solu­tions whose be­gin­ning is shown in Fig­ure 6, and every solu­tion of \eqref{e:markov} ap­pears in this tree.

Figure 6. The beginning of the Markov tree.

By now, we have found a match­ing \( \mathcal{T} \to \mathcal{M} \) between the tree of tri­angles \( \mathcal{T} \) and the Markov tree \( \mathcal{M} \). De­note by \( \Delta (a,b,c) \) the tri­angle in \( \mathcal{T} \) cor­res­pond­ing to the Markov triple \( (a,b,c) \in \mathcal{M} \). We can up­grade the match­ing by re­lat­ing the geo­metry of \( \Delta (a,b,c) \) with the Markov triple \( (a,b,c) \). Giv­en a planar tri­angle with edges of ra­tion­al slope, we define the weight of a ver­tex \( v \) as the ab­so­lute value of the de­term­in­ant of the two prim­it­ive lat­tice vec­tors par­al­lel to the edges meet­ing at \( v \). Weights are in­tegers. For in­stance, the weights of \( \Delta = \Delta (1,1,1) \) are \( (1,1,1) \) and those of \( \Delta^{\prime} = \Delta (2,1,1) \) are \( (4,1,1) \). More gen­er­ally, we have:

Pro­pos­i­tion 8: The weights of the tri­angle \( \Delta (a,b,c) \) are \( (a^2,b^2,c^2) \).

Proof. This was shown in [e31]; see also ([e45], Ap­pendix H.2). We give a more ele­ment­ary proof.

After a trans­la­tion we can as­sume that the red cent­ral point of \( \Delta (a,b,c) \) is at the ori­gin of \( \mathbb{R}^2 \). For \( i=1,2,3 \) we de­note by \( \hat v_i \) the prim­it­ive vec­tor in the dir­ec­tion of the ver­tex \( v_i \) and by \( q_i \) the prim­it­ive vec­tor in the dir­ec­tion of the \( i \)-th ori­ented edge; see Fig­ure 7. We use cyc­lic nota­tion mod 3 for the in­dices, e.g., \( q_{i-1} = q_3 \) for \( i=1 \). The weight at \( v_i \) is the de­term­in­ant \( w_i := |q_{i-1} \times q_i| \).

Figure 7. Primitive vectors associated with \( \Delta (a,b,c) \), and the new vertices \( v_1^{\prime} \) and \( v_2^{\prime} \) of \( \Delta (a^{\prime},b,c) \).

Write \( (n_1,n_2,n_3) = (a,b,c) \), and con­sider the as­ser­tions

  1. \( w_i = n_i^2 \) for \( i=1,2,3 \),
  2. \( \hat v_i = \displaystyle \frac{q_{i-1}-q_i}{n_i} \) for \( i=1,2,3 \).

Note that (1) is the claim in Pro­pos­i­tion 8. We shall prove (1) and (2) for all tri­angles in \( \mathcal{T} \) by in­duc­tion down the tree \( \mathcal{T} \cong \mathcal{M} \): (1) and (2) hold at the root \( \Delta (1,1,1) \). We as­sume that (1) and (2) hold at \( \Delta (a,b,c) \) and shall prove them for the two tri­angles in \( \mathcal{T} \) right be­low \( \Delta (a,b,c) \). Let \( \Delta (a^{\prime},b^{\prime},c^{\prime}) \) be one of these tri­angles. After re­nam­ing, we can as­sume that \( \Delta (a^{\prime},b^{\prime},c^{\prime}) \) is ob­tained from \( \Delta (a,b,c) \) by muta­tion at \( v_1 \). Hence \( a^{\prime} = 3bc-a \) and \( b^{\prime}=b \), \( c^{\prime}=c \). Re­call that \( v_1^{\prime} \) is the point of in­ter­sec­tion of the line through \( v_1 \) and the ori­gin with the edge \( [v_2,v_3] \), that \( v_2^{\prime} \) is the point of in­ter­sec­tion of the line through \( v_3 \) and \( v_1 \) with the line through \( v_2 \) par­al­lel to \( [v_1,v_1^{\prime}] \), and that \( \Delta (a^{\prime},b,c) \) is ob­tained from \( \Delta (a,b,c) \) by ap­ply­ing to the tri­angle with ver­tices \( v_1, v_2, v_1^{\prime} \) the shear \( S \) that fixes the line gen­er­ated by \( v_1 \) and takes \( v_2 \) to the point \( v_2^{\prime} \) on the line through \( v_1 \) and \( v_3 \). □

Lemma 9: \( S \) is the shear by \( \hat v_1 \), i.e., \[ S (p) = \sigma_{\hat v_1} (p) := p + (\hat v_1 \times p) \hat v_1 \quad \text{ for all } p \in \mathbb{R}^2 . \]

Proof. Us­ing both in­duct­ive as­sump­tions (1) and (2) we com­pute \begin{equation*} \eqalign{ \sigma_{\hat v_1} (q_1) &= q_1 + \frac{1}{n_1^2} ( (q_3-q_1) \times q_1 ) (q_3-q_1) \cr& = q_1 + \frac{w_1}{n_1^2} (q_3-q_1) = q_3 . } \end{equation*} Hence \( S \) and \( \sigma_{\hat v_1} \) both fix the line spanned by \( v_1 \) point­wise and take the ori­ented line through \( v_1, v_2 \) to the ori­ented line through \( v_3,v_1 \). Hence \( S = \sigma_{\hat v_1} \). □

Since \( S \) fixes the prim­it­ive vec­tor \( \hat v_1 \) and takes the prim­it­ive vec­tor \( q_1 \) to the prim­it­ive vec­tor \( q_3 \), it takes an ori­ented basis of \( \mathbb{Z}^2 \) to an ori­ented basis of \( \mathbb{Z}^2 \), i.e., \( S \in \operatorname{SL}(2;\mathbb{Z}) \). We can now prove as­ser­tions (1) and (2) for \( \Delta (a^{\prime},b,c) \).

Proof of (1): We have \( w_3^{\prime} = w_3 = n_3^2 \), and since \( S \in \operatorname{SL} (2;\mathbb{Z}) \) we have \( w_2^{\prime} = w_2 = n_2^2 \). The weight \( w_1^{\prime} \) at the newly cre­ated ver­tex \( v_1^{\prime} \) is \begin{equation*} \eqalign{ w_1^{\prime} &= | S (-q_2) \times q_2 | \cr &= | \sigma_{\hat v_1} (q_2) \times q_2 | \cr &= | ( q_2 + (\hat v_1 \times q_2) \hat v_1 ) \times q_2 | \cr &= (q_2 \times \hat v_1)^2 . } \end{equation*} For the in­teger \( n_1^{\prime} := q_2 \times \hat v_1 \) we thus have \[ n_1^{\prime} = q_2 \times \frac{q_3-q_1}{n_1} = \frac{w_3+w_2}{n_1} \stackrel{(\ast)}{=} 3n_2n_3-n_1 = 3bc-a = a^{\prime} , \] where in \( (\ast) \) we used (1) and the Markov equa­tion (6) for \( (a,b,c) = (n_1,n_2,n_3) \). Hence \( w_1^{\prime} = (n_1^{\prime})^2 = (a^{\prime})^2 \).

Proof of (2): This is clear for the un­changed vec­tor \( \hat v_3 \). For \( \hat v_2^{\prime} \) we must show \( \hat v_2^{\prime} = (q_3-Sq_2)/n_2^{\prime} \). This holds since \( w_2=w_2^{\prime} \) im­plies \( n_2=n_2^{\prime} \) and since \[ \hat v_2^{\prime} = S \hat v_2 \stackrel{(2)}{=} S \biggl( \frac{q_1-q_2}{n_2}\biggr) = \frac{1}{n_2} (q_3-Sq_2) . \] It re­mains to show that \( \hat v_1^{\prime} = (Sq_2-q_2)/n_1^{\prime} \). This holds since \( \hat v_1^{\prime} = - \hat v_1 \) and \[ S q_2 - q_2 = \sigma_{\hat v_1} (q_2) - q_2 = (\hat v_1 \times q_2) \hat v_1 = -n_1^{\prime} \hat v_1. \] The in­duc­tion step is done and Pro­pos­i­tion 8 fol­lows. □

Once we know that \( S \in \operatorname{SL}(2;\mathbb{Z}) \), we can prove Pro­pos­i­tion 8 in a more dir­ect way. The in­teg­ral length of a seg­ment \( s \) in \( \mathbb{R}^2 \) with ra­tion­al slope can be defined as fol­lows: Let \( A \) be a trans­la­tion fol­lowed by a mat­rix in \( \operatorname{SL} (2;\mathbb{Z}) \) that takes \( s \) to the \( x \)-ax­is. Then the in­teg­ral length of \( s \) is the Eu­c­lidean length of \( A (s) \). Equi­val­ently, the in­teg­ral length of \( s \) is \( |\ell| \) if the dif­fer­ence of the end-points of \( s \) is equal to \( \ell q \) for a prim­it­ive vec­tor \( q \).

Let \( u_i = \ell_i q_i \) be the ori­ented edges of \( \Delta (a,b,c) \), so \( \ell_i \) is the in­teg­ral length of \( u_i \). After scal­ing \( \Delta = \Delta (1,1,1) \) we can as­sume that the edges of \( \Delta \) have in­teg­ral length 3. Since \( \Delta (a,b,c) \) is ob­tained by geo­met­ric muta­tions from \( \Delta \) and since the mat­rix \( S \) of each geo­met­ric muta­tion be­longs to \( \operatorname{SL} (2;\mathbb{Z}) \), the area and in­teg­ral peri­met­er of these two tri­angles are the same: \[ |u_{i-1} \times u_{i} | = 2 \operatorname{area} \Delta (a,b,c) = 9, \qquad \ell_1 + \ell_2 + \ell_3 = 9. \] The first iden­tity and \( |u_{i-1} \times u_{i} | = \ell_{i-1} \ell_{i} |q_{i-1} \times q_{i} | = \ell_{i-1} \ell_{i} w_i \) yield \[ \ell_{i-1} \ell_{i} w_i = 9 . \] From these three iden­tit­ies and \( \ell_1 + \ell_2 + \ell_3 = 9 \) we ob­tain \begin{equation} \label{e:M2} \sqrt{9 w_1 w_2 w_3} = w_1 + w_2 + w_3. \end{equation} Let \( \bar\Delta \) be the tri­angle in \( \mathcal{T} \) right above \( \Delta (a,b,c) \), with weights \( \bar{w}_1, \bar{w}_2, \bar{w}_3 \). Since \( \Delta (a,b,c) \) is ob­tained from \( \bar\Delta \) by one geo­met­ric muta­tion, two of the weights are equal, say \( \bar{w}_2 = w_2 \), \( \bar{w}_3 = w_3 \). By in­duc­tion we as­sume that the weights of \( \bar\Delta \) are squares. Then \( w_2 = n_2^2 \), \( w_3 = n_3^2 \), and \eqref{e:M2} be­comes \[ \sqrt{w_1} = \frac{w_1 + w_2 + w_3}{3n_2n_3} . \] Since the weights \( w_i \) are in­tegers, this is a ra­tion­al num­ber. Hence \( w_1 \) is also a square, \( w_1 = n_1^2 \). Now \eqref{e:M2} reads \[ 3 n_1 n_2 n_3 = n_1^2+n_2^2+n_3^2 , \] i.e., \( (n_1,n_2,n_3) \) is a Markov triple. Since a geo­met­ric muta­tion of a tri­angle in \( \mathcal{T} \) changes only one weight and an al­geb­ra­ic muta­tion of a Markov triple changes only one Markov num­ber, we con­clude by in­duc­tion along \( \mathcal{T} \) that \( (\sqrt{w_1}, \sqrt{w_2}, \sqrt{w_3}) = (n_1,n_2,n_3) = (a,b,c) \).

Let \( T(a,b,c) \) be the tor­us over the red cent­ral point of \( \Delta (a,b,c) \). To dis­tin­guish these tori, let \( \nabla (a,b,c) \) be the con­vex hull of the set of those ele­ments of \( H_1(T(a,b,c)) \) that are rep­res­en­ted by the bound­ary of a \( J \)-holo­morph­ic disc of Maslov in­dex 2 with bound­ary on \( T(a,b,c) \). Sim­il­ar to the count­ing in­vari­ant \( \nu (L) \) de­scribed early in this sec­tion, the mono­ton­icity of \( T(a,b,c) \) im­plies that \( \nabla (a,b,c) \) does not de­pend on the gen­er­ic choice of \( J \) and is in­vari­ant un­der Hamilto­ni­an iso­top­ies. For con­crete­ness we fix a \( \mathbb{Z} \)-basis of \( H_1(T(a,b,c)) \). Then \( \nabla (a,b,c) \) be­comes a sub­set of \( \mathbb{R}^2 \). Let \( \Delta^{\!\circ}(a,b,c) \) be the dual of \( \Delta (a,b,c) \), namely the tri­angle whose ver­tices are the prim­it­ive lat­tice vec­tors out­ward nor­mal to the edges of \( \Delta (a,b,c) \). Vi­anna proved by neck-stretch­ing that \begin{equation} \label{e:Via} \nabla (a,b,c) = A (\Delta^{\!\circ} (a,b,c) ) \quad \mbox{for a matrix } A \in \operatorname{GL}(2;\mathbb{Z}) . \end{equation} As­sume now that \( T(a,b,c) \) and \( T(a^{\prime},b^{\prime},c^{\prime}) \) are Hamilto­ni­an iso­top­ic. Then \( \nabla (a,b,c) = \nabla (a^{\prime},b^{\prime},c^{\prime}) \). Hence \( \Delta^{\!\circ} (a,b,c) = B (\Delta^{\!\circ} (a^{\prime},b^{\prime},c^{\prime})) \) for a mat­rix \( B \in \operatorname{GL}(2;\mathbb{Z}) \), by \eqref{e:Via}. Thus \( B^T (\Delta (a,b,c)) = \Delta (a^{\prime},b^{\prime},c^{\prime}) \). Hence the weights of \( \Delta (a,b,c) \) and \( \Delta (a^{\prime},b^{\prime},c^{\prime}) \), that are \( \operatorname{GL}(2;\mathbb{Z}) \)-in­vari­ants and equal \( \{a^2,b^2,c^2\} \) and \( \{a^{\prime \,2}, b^{\prime \,2}, c^{\prime \,2}\} \), are the same. There­fore \( \{a,b,c\} = \{a^{\prime},b^{\prime},c^{\prime}\} \). This proves The­or­em 7 for \( \mathbb{C}\mathrm{P}^2 \).

The­or­em 5(ii) in par­tic­u­lar shows that all the tori \( T(a,b,c) \) are Lag­rangi­an iso­top­ic. This can be seen dir­ectly from their con­struc­tion.

Pro­pos­i­tion 10: The tori \( T(a,b,c) \) are all Lag­rangi­an iso­top­ic.

Proof. The proof is il­lus­trated in Fig­ure 8. Con­sider the tor­us \( T(a,b,c) \) over its red base point in \( \Delta (a,b,c) \), and one of the two tori, say \( T(a^{\prime},b,c) \), just be­low it in the Markov tree, that is ob­tained by geo­met­ric muta­tion. Move the red base point a bit up to the green point in the in­teri­or of the tri­angle \( \Delta_+ \), and call the (non­mono­tone) tor­us over the green point \( T_{\varepsilon} \). This move of the base point cor­res­ponds to a Lag­rangi­an iso­topy of the fibers from \( T(a,b,c) \) to \( T_{\varepsilon} \) since the ATF is trivi­al near the seg­ment from the red point to the green point. We now do the geo­met­ric muta­tion lead­ing to \( T(a^{\prime},b,c) \). Since the green point does not lie on the cut line, we can take the sup­port of the nod­al slide dis­joint from \( T_{\varepsilon} \). And since \( T_{\varepsilon} \) lies over the in­teri­or of \( \Delta_+ \), it is also un­touched by the trans­fer­ring the cut op­er­a­tion (the half-shear defined by \( S \)). Fi­nally, take as be­fore a small Lag­rangi­an iso­topy mov­ing \( T_{\varepsilon} \) to \( T(a^{\prime},b,c) \). Com­pos­ing the two Lag­rangi­an iso­top­ies from \( T(a,b,c) \) to \( T_{\varepsilon} \) and from \( T_{\varepsilon} \) to \( T(a^{\prime},b,c) \) we ob­tain a Lag­rangi­an iso­topy from \( T(a,b,c) \) to \( T(a^{\prime},b,c) \). Now use in­duc­tion over the Markov tree. □

Figure 8. Proof of Proposition 10.

In the next sec­tion we will also look at Lag­rangi­an im­mer­sions. We already prove here that as Lag­rangi­an im­mer­sions, the tori \( T(a,b,c) \) are equi­val­ent in the strongest pos­sible way. A reg­u­lar ho­mo­topy of Lag­rangi­an im­mer­sions \( f_t : L \to L_t \) in a sym­plect­ic man­i­fold \( (M,\omega) \) is said to be ex­act if the area ho­mo­morph­ism \( [\omega]_t : \pi_2(M,L_t) \to \mathbb{R} \) does not de­pend on \( t \).

Pro­pos­i­tion 11: As­sume that \( L_0,L_1 \) are mono­tone Lag­rangi­an tori in \( \mathbb{C}\mathrm{P}^2 \) that are Lag­rangi­an iso­top­ic. Then there ex­ists an ex­act reg­u­lar ho­mo­topy of Lag­rangi­an im­mer­sions from \( L_0 \) to \( L_1 \).

Proof. This es­sen­tially fol­lows from the Gro­mov–Lees \( h \)-prin­ciple. We ad­apt the proof of 24.3.1 in [17] to our situ­ation. Let \( f_t : L \to L_t \) be a Lag­rangi­an iso­topy from \( L_0 \) to \( L_1 \). Ex­tend \( f_t \circ f_0^{-1} \) to a smooth fam­ily of dif­feo­morph­isms \( \tilde{f}_t : \mathcal{N}(L_0) \to \mathcal{N} (L_t) \) between tu­bu­lar neigh­bor­hoods \( \mathcal{N}(L_t) \subset M \). Since \( L_t \) is Lag­rangi­an, \( (\tilde{f}_t)^* \omega \) van­ishes on \( L_0 \). Hence there ex­ist 1-forms \( \tilde{\alpha}_t \) on \( \mathcal{N}(L_0) \) such that \begin{equation} \label{e:gat} (\tilde{f}_t)^* \omega = d \tilde{\alpha}_t \quad \mbox{and} \quad \alpha_t := \tilde{\alpha}_t |_{L_0} \mbox{ is closed.} \end{equation}

Since \( L_0 \) and \( L_1 \) are mono­tone, \begin{equation} \label{e:oo01} [\omega]_j : \pi_2(\mathbb{C}\mathrm{P}^2,L_j) \to \mathbb{R} \quad \mbox{agree for } j=0,1 . \end{equation} Choose a basis \( \{\gamma_k \} \) of \( \pi_1(L_0) \cong H_1(L_0;\mathbb{Z}) \) and classes \( \{ [D_k] \} \) in \( \pi_2(\mathbb{C}\mathrm{P}^2,L_0) \) such that \( \partial [D_k] = \gamma_k \). Then choose closed 1-forms \( \beta_0, \beta_1 \) on \( L_0 \) such that \begin{equation} \label{e:jk} [\alpha_j+\beta_j]\, \gamma_k = [\omega]_j [D_k] \quad \mbox{for } j=0,1 \mbox{ and } k=1,2 . \end{equation} Re­place \( \tilde{\alpha}_t \) by \( \tilde{\alpha}_t + t \operatorname{pr}^* \beta_1 + (1-t) \operatorname{pr}^* \beta_0 \), where \( \operatorname{pr} : \mathcal{N}(L_0) \to L_0 \) is the pro­jec­tion, and call this form again \( \tilde{\alpha}_t \). Then \eqref{e:gat} still holds, and now \( [\alpha_0] = [\alpha_1] \in H^1(L_0;\mathbb{R}) \) by \eqref{e:oo01} and \eqref{e:jk}. Choose \( h : L_0 \to \mathbb{R} \) with \( \alpha_1 = \alpha_0 + tdh \), and ex­tend \( h \) to \( \tilde{h} \) on \( \mathcal{N}(L_0) \). Mak­ing a fi­nal cor­rec­tion, we re­place \( \tilde{\alpha}_t \) by \( \tilde{\alpha}_t - \operatorname{pr}^* \alpha_0 - t d\tilde{h} \), and call this form again \( \tilde{\alpha}_t \). Then \eqref{e:gat} still holds, and now \( \alpha_t := \tilde{\alpha}_t |_{L_0} = 0 \) for \( t=0,1 \). In par­tic­u­lar, the in­clu­sion \begin{equation} \label{e:iota} \iota : L_0 \to ( \mathcal{N}(L_0), d \tilde{\alpha}_t ), \quad t \in [0,1], \end{equation} defines an iso­topy of Lag­rangi­an em­bed­dings that for \( t = 0,1 \) are ex­act in the sense that the 1-forms \( \iota^* \tilde{\alpha}_t = \alpha_t \) on \( L_0 \) are ex­act. (In fact, they van­ish.)

We can now ap­ply to the Lag­rangi­an iso­topy \eqref{e:iota} the \( h \)-prin­ciple 24.3.1 in [17], and ob­tain a reg­u­lar ho­mo­topy of Lag­rangi­an im­mer­sions \[ g_t : L_0 \to g_t(L_0) \subset ( \mathcal{N}(L_0), d \tilde{\alpha}_t ), \quad t \in [0,1], \] such that \( g_0=g_1= \iota \) and such that all \( g_t \) are ex­act, i.e., \( g_t^* \tilde{\alpha}_t \) are ex­act for all \( t \in [0,1] \). The com­pos­i­tion \[ \tilde{f}_t \circ g_t \circ f_0 : L \to (\tilde{f}_t \circ g_t) (L_0) =: L_t^{\prime} \subset (M,\omega) \] is a reg­u­lar ho­mo­topy of Lag­rangi­an im­mer­sions from \( f_0 \) to \( f_1 \) for which the area ho­mo­morph­ism \( [\omega]_t : \pi_2(M,L_t^{\prime}) \to \mathbb{R} \) is con­stant on \( [0,1] \). In­deed, if \( u : D \to \mathbb{C}\mathrm{P}^2 \) is a disc with bound­ary \( \gamma \) on \( L_0 \), then for each \( t \in [0,1] \) we ob­tain a disc \( D_t \) with bound­ary on \( L_t^{\prime} \) by adding to \( u \) the cyl­in­der \[ z_t : S^1 \times [0,t] \to \mathbb{C}\mathrm{P}^2, \quad (\theta, s) \mapsto ( \tilde{f}_s \circ g_s ) (\gamma(\theta)) , \] and \( D \) and \( D_t \) have the same \( \omega \)-area be­cause \( \int_{S^1 \times [0,t]} z_t^* \omega =0 \). □

We fi­nally sketch the ap­proach to The­or­em 7 of Galkin and Mikhalkin in [e42].

Tori from degenerations
Let \( Y \subset \mathbb{C}\mathrm{P}^N \) be a com­plex pro­ject­ive vari­ety with sin­gu­lar set \( \Sigma \), and as­sume that \( \pi : Y \to \mathbb{D} \) is a holo­morph­ic sub­mer­sion on \( Y \setminus \Sigma \) that takes \( \Sigma \) to the cen­ter 0 of the open unit disc \( \mathbb{D} \subset \mathbb{C} \). For \( t \in \mathbb{D} \) set \( X_t = \pi^{-1}(t) \). One says that \( X_{t \neq 0} \) is a smooth­ing of \( X_0 \) and that \( X_0 \) is a de­gen­er­a­tion of \( X_{t \neq 0} \). The re­stric­tion of the Fu­bini–Study form \( \omega \) on \( \mathbb{C}\mathrm{P}^N \) turns the \( X_{t \neq 0} \), \( X_0 \setminus \Sigma \), and \( Y \setminus \Sigma \) in­to sym­plect­ic man­i­folds. The sym­plect­ic planes that are \( \omega \)-or­tho­gon­al to \( TX_t \subset TY \) define a con­nec­tion and a sym­plect­ic par­al­lel trans­port on \( Y \setminus \Sigma \). It fol­lows that all \( X_{t \neq 0} \) are sym­plec­to­morph­ic. Moreover, par­al­lel trans­port takes a Lag­rangi­an tor­us in \( X_0 \setminus \Sigma \) to a Lag­rangi­an tor­us in every \( X_{t \neq 0} \).

Now take \( X_0 \) to be a weighted pro­ject­ive plane \( \mathbb{C}\mathrm{P}^2(a^2,b^2,c^2) \). This is a sin­gu­lar tor­ic vari­ety (with at most three sin­gu­lar points), and the mo­ment map tri­angle can be taken to be \( \Delta (a,b,c) \). Hack­ing and Prok­horov showed in [e23] that \( \mathbb{C}\mathrm{P}^2(a^2,b^2,c^2) \) ad­mits a smooth­ing as above ex­actly if \( (a,b,c) \) solves the Markov equa­tion. In this case, we ob­tain from the fiber over the cent­ral point of \( \Delta (a,b,c) \) a mono­tone Lag­rangi­an tor­us \( \widetilde T(a,b,c) \) in \( X_t = \mathbb{C}\mathrm{P}^2 \). Galkin and Mikhal­in proved (8) for \( \widetilde T(a,b,c) \). Hence the tori \( \widetilde T(a,b,c) \) are not Hamilto­ni­an iso­top­ic for dif­fer­ent Markov triples, im­ply­ing again The­or­em 7 for \( \mathbb{C}\mathrm{P}^2 \).

It is widely be­lieved that the an­swer to the fol­low­ing ques­tion is “yes”.

Open Prob­lem 5: Is it true that for each Markov triple \( (a,b,c) \) the tori \( T(a,b,c) \) and \( \widetilde T(a,b,c) \) con­struc­ted above are Hamilto­ni­an iso­top­ic?

This would fol­low at once from an af­firm­at­ive an­swer to:

Open Prob­lem 6: Is every mono­tone Lag­rangi­an tor­us in \( \mathbb{C}\mathrm{P}^2 \) Hamilto­ni­an iso­top­ic to a tor­us \( T (a,b,c) \)?

In a sim­il­ar way, one can con­struct in­fin­itely many mono­tone Lag­rangi­an tori in \( S^2 \times S^2 \) that are pair­wise not Hamilto­ni­an iso­top­ic. They are now para­met­rized by the nodes of a tree that con­sists of tri­angles and quad­ri­lat­er­als; see Vi­anna [e34], and Pas­ca­leff and Tonkonog [e39].

Open Prob­lem 7: Is every mono­tone Lag­rangi­an tor­us in \( S^2 \times S^2 \) Hamilto­ni­an iso­top­ic to one of these tori?
Some applications
The above exot­ic tori in \( \mathbb{C}\mathrm{P}^2 \) and \( S^2 \times S^2 \) have vari­ous ap­plic­a­tions to sym­plect­ic to­po­logy. We just state four of them.

(i) By a res­ult of Mc­Duff [e9], the space of sym­plect­ic em­bed­dings of a closed 4-ball in­to an open 4-ball is con­nec­ted. For oth­er do­mains, the situ­ation can be very dif­fer­ent. For in­stance, there are in­fin­itely many sym­plect­ic em­bed­dings of the closed poly­disc \( \overline D(1) \times \overline D(1) \) in­to \( B^4(3) \) that are not sym­plect­ic­ally iso­top­ic. Brendel, Mikhalkin, and Schlenk [e47] show this by us­ing the tori \( T(a,b,c) \) with \( a=1 \).

(ii) Yet an­oth­er equi­val­ence re­la­tion on Lag­rangi­an sub­man­i­folds \( L,L^{\prime} \subset (M,\omega) \) is defined by ask­ing that there ex­ists a sym­plec­to­morph­ism tak­ing \( L \) to \( L^{\prime} \). Let \( \sigma \) be the sym­plec­to­morph­ism of \( S^2 \times S^2 \) that ex­changes the factors. Hind, Mikhalkin, and Schlenk show in [e50] that for all AT­Fs of \( S^2 \times S^2 \) whose base is quad­ri­lat­er­al but not a square, the mono­tone tor­us \( L \) over the cen­ter is not Hamilto­ni­an iso­top­ic to \( \sigma (L) \).

(iii) Suc­cess­ively lift­ing the tori \( T(a,b,c) \) in \( \mathbb{C}\mathrm{P}^2 \) to Lag­rangi­an tori in \( \mathbb{C}\mathrm{P}^3, \mathbb{C}\mathrm{P}^4, \dots \), Chanda, Hirs­chi, and Wang [e44] con­struc­ted in­fin­itely many Hamilto­ni­an iso­topy classes of mono­tone Lag­rangi­an tori in every \( \mathbb{C}\mathrm{P}^n \).

(iv) Con­sider the stand­ard con­tact sphere \( (S^{2n+1}, \xi_{\operatorname{st}}) \) of di­men­sion at least 5. Lift­ing the Lag­rangi­an tori in (iii), Blakey, Chanda, Sun, and Wood­ward [e48] ob­tain in­fin­itely many Le­gendri­an tori in these spheres which are not Le­gendri­an iso­top­ic to each oth­er.

More gen­er­ally, let \( L \) and \( K \) be mono­tone Lag­rangi­ans in a closed sym­plect­ic man­i­fold \( (M,\omega) \) with in­teg­ral sym­plect­ic form, and as­sume that \( L \) and \( K \) can be lif­ted to em­bed­ded Le­gendri­ans \( L^{\prime} \) and \( K^{\prime} \) of a pre­quant­iz­a­tion \( (P,\alpha) \) of \( (M,\omega) \). Con­sider the fol­low­ing state­ments:

  1. \( L \) and \( K \) are Hamilto­ni­an iso­top­ic.
  2. \( L^{\prime} \) and \( K^{\prime} \) are Le­gendri­an iso­top­ic.

Note that (1) yields (2), while (2) in gen­er­al does not yield (1). Thus (2) can be con­sidered as a weak form of un­knot­ted­ness, which is not so much ex­plored yet. This dis­cus­sion also ex­tends to more gen­er­al Bo­hr–Som­mer­feld Lag­rangi­ans.

In \( \mathbb{R}^{2n} \)
While for odd \( n \geq 5 \) all mono­tone Lag­rangi­an tori in \( \mathbb{R}^{2n} \) are smoothly iso­top­ic, this is not so for even \( n \geq 4 \). Both state­ments were shown by Di­mitro­glou Rizell and Evans [e28] by us­ing Hae­fli­ger–Hirsch the­ory (cf. the res­ults by Bor­relli [e14] and Nemirovski [e51] for the case of \( S^k \times S^1 \) dis­cussed at the end of Sec­tion 4).

In con­trast to \( \mathbb{R}^4 \) (see Prob­lem 4), it is known that for \( 2n \geq 6 \) there are in­fin­itely many Hamilto­ni­an iso­topy classes of mono­tone Lag­rangi­an tori in \( \mathbb{R}^{2n} \) with equal area classes. In­fin­itely many such tori were first con­struc­ted by Auroux [e29] who, again, dis­tin­guished them by the disc po­ten­tial, and then by Brendel [e43] whose con­struc­tion is in­spired by the one of the Chekan­ov tor­us in (1) An it­er­a­tion pro­ced­ure based on (1) was used earli­er in [e25] to con­struct many (though fi­nitely many) such tori. The re­la­tion between these three sets of mono­tone Lag­rangi­an tori in \( \mathbb{R}^{2n} \) (\( 2n \geq 6 \)) has not been worked out.

Nonmonotone tori
The above Lag­rangi­an knots are all mono­tone. Mono­tone Lag­rangi­ans can only ex­ist in sym­plect­ic man­i­folds that are mono­tone them­selves (mean­ing that the area class on \( \pi_2(M) \) is pos­it­ively pro­por­tion­al to the first Chern class). In con­trast, suf­fi­ciently small tori in \( \mathbb{R}^{2n} \), mono­tone or not, can al­ways be em­bed­ded in­to a giv­en sym­plect­ic man­i­fold, and Brendel showed in [e43] that for all “reas­on­able” sym­plect­ic man­i­folds of di­men­sion at least 6 (in­clud­ing closed ones and co­tan­gent bundles), every open sub­set con­tains in­fin­itely many Lag­rangi­an tori which are pair­wise not Hamilto­ni­an iso­top­ic but are Lag­rangi­an iso­top­ic and have the same area class. Thus the oc­cur­rence of in­fin­itely many Hamilto­ni­an knot­ted tori is a purely loc­al phe­nomen­on in di­men­sions \( \geq 6 \). Re­call, however, Open Prob­lem 3. In di­men­sion 4, it is harder to find non­mono­tone tori with the same area class that are not Hamilto­ni­an iso­top­ic. Ex­amples in \( \mathbb{C}\mathrm{P}^2 \) and in the mono­tone \( S^2 \times S^2 \) were found by Shelukh­in, Tonkonog, and Vi­anna ([e35], Sec­tion 7) and by Fukaya, Oh, Ohta, and Ono [e27], and in many more sym­plect­ic 4-man­i­folds by Brendel, Hauber, and Schmitz in the re­cent work [e49]. To de­scribe exot­ic non­mono­tone tori in \( \mathbb{C}\mathrm{P}^2 \) we re­turn to Fig­ure 5. Take a point in the tri­angle in I that lies in the in­teri­or of the seg­ment from the black point to the red point. The two tori over this point in I and in III have the same area classes, but are not Hamilto­ni­an iso­top­ic. The main open prob­lem on non­mono­tone tori in di­men­sion 4 is:
Open Prob­lem 8: Is every non­mono­tone Lag­rangi­an tor­us in \( \mathbb{R}^4 \) Hamilto­ni­an iso­top­ic to a product tor­us \( S^1(a) \times S^1(b) \)?
\[ *\quad*\quad*\]

An­ec­dote.  When Yasha spent the spring of 2022 at the ITS of ETH Zürich, he pro­posed to me \( ( \)FS\( ) \) “that we come to­geth­er for a day”. (Of course, it be­came two days, with overnight at Ada and Yasha’s place.) In a work with Brendel about Lag­rangi­an pin­wheels, I was des­per­ately look­ing for a cer­tain \( J \)-sphere, which some­how had to ex­ist, but I already doubted it did. When I asked Yasha about how to get this sphere, he set off a fire­work, or rather a cas­cade of fire­works: an idea came up…mmh; then an­oth­er one …\/ “Something is fishy here,” he said while we walked to the Coop to buy a bottle of wine; then a longer line of ar­gu­ments along neck stretch­ing, show­ing it really should ex­ist; then yet a sim­pler ap­proach through res­ol­u­tions…\/ At the end I used a the­or­em of Taubes, but the key point was that I got totally charged by Yasha and con­vinced that there is an ar­gu­ment. \[ *\quad*\quad*\]

4. Knottedness from the Maslov class

An­oth­er fla­vor of Lag­rangi­an knots comes from the ex­ist­ence of Lag­rangi­an em­bed­dings which are not reg­u­larly ho­mo­top­ic through Lag­rangi­an im­mer­sions. We con­sider here the case of Lag­rangi­an em­bed­dings \( f : S^k \times S^1 \to \mathbb{R}^{2k+2} \) which are ob­tained by a Lag­rangi­an sur­gery of an im­mer­sion \( S^{k+1} \to \mathbb{R}^{2k+2} \) with a single double point, which is trans­verse. We as­sume throughout that \( k \geq 2 \). By Gro­mov’s the­or­em, one of the gen­er­at­ors of the first ho­mo­logy has pos­it­ive sym­plect­ic area. The min­im­al Maslov num­ber, de­noted by \( \mu(f) \), is defined as the Maslov in­dex of this gen­er­at­or. The ab­so­lute value of this num­ber agrees for Lag­rangi­an em­bed­dings which are reg­u­larly ho­mo­top­ic through Lag­rangi­an im­mer­sions.

Let’s start with the Whit­ney im­mer­sion \[ w : S^{k+1} \to \mathbb{C}^{k+1}(p+iq), \quad w(x,y) = (1+iy)x, \] where \( S^{k+1} = \{ (x,y) \in \mathbb{R}^{k+1} \times \mathbb{R} \mid |x|^2+y^2 = 1\} \). (For \( k=1 \) this is the 2-di­men­sion­al pinched tor­us en­countered earli­er.) Re­call that there are two dif­fer­ent sur­ger­ies [e10]. One of these sur­ger­ies al­ways leads to a “stand­ard” Lag­rangi­an em­bed­ding \( f_k \) of \( S^k \times S^1 \) with \( \mu(f_k)=2 \). When \( k \geq 3 \) is odd, the second sur­gery gives rise to a Lag­rangi­an em­bed­ding \( g_k \) of \( S^k \times S^1 \), with \( \mu(g_k)=k+1 \). When \( k \geq 2 \) is even, however, the second sur­gery leads to a Lag­rangi­an em­bed­ding of a non­trivi­al \( S^k \)-bundle over \( S^1 \), and hence be­comes ir­rel­ev­ant to our dis­cus­sion.

As an ap­plic­a­tion of the \( h \)-prin­ciple for Lag­rangi­ans with cer­tain con­ic­al sin­gu­lar­it­ies over loose Le­gendri­ans, proven by Eli­ash­berg and Murphy in [13], Ek­holm, Eli­ash­berg, Murphy, and Smith [14] con­struc­ted for every even \( k \) a Lag­rangi­an im­mer­sion of \( S^{k+1} \) in­to \( \mathbb{R}^{2k+2} \) hav­ing a unique trans­verse double point that is dif­fer­ent from the Whit­ney im­mer­sion. One of the sur­ger­ies per­formed at this point leads to an exot­ic Lag­rangi­an em­bed­ding \( h_k \) of \( S^k \times S^1 \) with a num­ber of highly un­ex­pec­ted prop­er­ties. First, when \( k=2 \), the Maslov class of \( h_k \) van­ishes. This provides a neg­at­ive an­swer to a ques­tion by Aud­in ([e8], p. 622), and in fact de­bunks a once widely ac­cep­ted be­lief that the Maslov class of a closed Lag­rangi­an sub­man­i­fold in \( \mathbb{R}^{2n} \) can­not van­ish. Second, for \( k \geq 4 \), \( h_k \) is neg­at­ively mono­tone with \( \mu(h_k) = 2-k \). The con­struc­tion of the Lag­rangi­an em­bed­dings \( h_k \) is not ex­pli­cit.

Open Prob­lem 9: Find an ex­pli­cit Lag­rangi­an em­bed­ding \( S^2 \times S^1 \to \mathbb{R}^6 \) with van­ish­ing Maslov class.

In view of their min­im­al Maslov num­bers, \( f_k \) and \( g_k \), \( g_k \) and \( h_k \), as well as \( f_k \) and \( h_k \) with \( k \neq 4 \), are not reg­u­larly ho­mo­top­ic through Lag­rangi­an im­mer­sions. We claim that the em­bed­dings \( f_4 \) and \( h_4 \) are not iso­top­ic through Lag­rangi­an em­bed­dings. In­deed, as­sume on the con­trary that such an iso­topy, say \( u_t : S^k \times S^1 \to \mathbb{R}^{2k+2} \) with \( u_0= f_4 \) and \( u_1 = h_4 \), does ex­ist. De­note by \( \lambda_t \) the cor­res­pond­ing sym­plect­ic area class, and by \( \mu \) the (non­van­ish­ing and \( t \)-in­de­pend­ent) Maslov class in \( H^1(S^k \times S^1;\mathbb{Z}) = \mathbb{Z} \). Note that \( \lambda_t = c(t) \mu \) with \( c(0) > 0 \) and \( c(1) < 0 \) (the lat­ter is a con­sequence of the neg­at­ive mono­ton­icity). Thus, by con­tinu­ity, there ex­ists \( s \in (0,1) \) with \( c(s)=0 \). Thus \( \lambda_s = 0 \), which con­tra­dicts Gro­mov’s the­or­em on the nonex­ist­ence of ex­act Lag­rangi­an em­bed­dings. The claim fol­lows.

Open Prob­lem 10: Are the em­bed­dings \( f_4 \) and \( h_4 \) reg­u­larly ho­mo­top­ic through Lag­rangi­an im­mer­sions?

As poin­ted out by Di­mitro­glou Rizell, the con­struc­tion of the Lag­rangi­an im­mer­sion of \( S^5 \) un­der­ly­ing the em­bed­ding \( h_4 \) ac­tu­ally de­pends on the choice of the form­al Lag­rangi­an ho­mo­topy class of the Lag­rangi­an disc-cap from [13], and so \( h_k \) and the solu­tion to Open Prob­lem 9 may de­pend on this choice.

Pro­pos­i­tion 12: For all even \( k \geq 2 \), the em­bed­dings \( f_k \) and \( h_k \) are reg­u­larly ho­mo­top­ic through smooth im­mer­sions.

This fol­lows from the fact that two im­mer­sions of a closed man­i­fold \( M \) of odd di­men­sion \( n \geq 3 \) in­to \( \mathbb{R}^{2n} \) are reg­u­larly ho­mo­top­ic through smooth im­mer­sions if and only if they have the same num­ber of double points mod 2. We learned this state­ment from a re­mark in ([e17], p. 81), and An­drás Juhász ex­plained to us the fol­low­ing proof. By the Hirsch–Smale \( h \)-prin­ciple the dif­fer­en­tial gives a weak ho­mo­topy equi­val­ence \( \operatorname{Imm}(M, \mathbb{R}^{2n}) \to \operatorname{Mono}(TM, T\mathbb{R}^{2n}) \) from the space of im­mer­sions to the space of fiber­wise in­ject­ive bundle ho­mo­morph­isms \( TM \to T \mathbb{R}^{2n} \) cov­er­ing a con­tinu­ous map \( M \to \mathbb{R}^{2n} \). In par­tic­u­lar, the ob­struc­tions to a reg­u­lar ho­mo­topy between two im­mer­sions lie in \( H^i(M; \pi_i(V_n(\mathbb{R}^{2n}))) \), where \( V_n(\mathbb{R}^{2n}) \) is the Stiefel man­i­fold of \( n \)-frames in \( \mathbb{R}^{2n} \). As \( \pi_i(V_n(\mathbb{R}^{2n})) = 0 \) for \( i < n \) and is \( \mathbb{Z}_2 \) for \( i=n \), the only ob­struc­tion lies in \( H^n(M; \mathbb{Z}_2) = \mathbb{Z}_2 \). So there are at most two reg­u­lar ho­mo­topy classes. The num­ber of double points mod 2 is an in­vari­ant un­der reg­u­lar ho­mo­topy (con­sider double point curves of the trace of the reg­u­lar ho­mo­topy in \( \mathbb{R}^{2n} \times [0,1] \)). By tak­ing a con­nec­ted sum with an im­mer­sion of \( S^n \) with one double point we see that both 0 and 1 can be real­ized as the num­ber of double points mod 2. The claim fol­lows.

A much stronger res­ult was re­cently ob­tained by Nemirovski ([e51], Co­rol­lary 1.2).

The­or­em 13: All Lag­rangi­an em­bed­dings of \( S^k \times S^1 \) in \( \mathbb{C}^{k+1} \) are smoothly iso­top­ic for \( k\neq 3 \), and for \( k=3 \) there are two smooth iso­topy classes of Lag­rangi­an em­bed­dings. In par­tic­u­lar, the em­bed­dings \( f_k \) and \( h_k \) are iso­top­ic through smooth em­bed­dings. For every \( k \), an ex­pli­cit Lag­rangi­an em­bed­ding is giv­en by \[ S^k \times S^1 \to \mathbb{R}^{k+1} \oplus \mathbb{R}^{k+1}, \quad (x,t) \mapsto \bigl( x+ \tfrac 12 \sin t \, x , \tfrac 12 \cos t \, x \bigr) , \] where \( S^k \) is viewed as the unit sphere in \( \mathbb{R}^{k+1} \) and \( S^1 \) as \( \mathbb{R}/2\pi \mathbb{Z} \).

The proof is based on the Hae­fli­ger–Hirsch em­bed­ding the­or­em and res­ults of Sko­pen­kov [e20] for \( k=2 \). For even \( k \geq 2 \) there are in­fin­itely many smooth iso­topy classes of em­bed­dings of \( S^k \times S^1 \) in \( \mathbb{C}^{k+1} \), and for odd \( k \geq 3 \) there are two such iso­topy classes; see ([e51], p. 2). For \( k \neq 3 \), The­or­em 13 is there­fore a ri­gid­ity the­or­em. Such knot­ted smooth em­bed­dings were first found by Hud­son [e4], and two more geo­met­ric con­struc­tions are giv­en by Sko­pen­kov ([e52], Sec­tion 3).

Yet an­oth­er con­struc­tion yield­ing all smooth iso­topy classes of em­bed­dings for \( k \geq 3 \) and in­fin­itely many for \( k=2 \) was shown to us by Nemirovski: Em­bed \( S^k \) in the stand­ard way in \( \mathbb{R}^{k+1} \). Con­sider its (trivi­al) nor­mal bundle \( \nu \) in \( \mathbb{C}^{k+1} \) of rank \( k+2 \). We are go­ing to choose a trivi­al rank-2 sub­bundle of \( \nu \) and then take small circles in these nor­mal planes. This will define a smooth em­bed­ding of \( S^k \times S^1 \) in­to \( \mathbb{C}^{k+1} \). For the choice of the trivi­al rank-2 sub­bundle, we first take any sec­tion of \( \nu \) con­sist­ing of unit vec­tors, for in­stance \( x \mapsto (x,0_{k+1}) \). This choice is un­ob­struc­ted, since it cor­res­ponds to a map from \( S^k \) to \( S^{k+1} \) be­cause \( \nu \) is trivi­al of rank \( k+2 \). Choos­ing the second nor­mal vec­tor field in \( \nu \) then means choos­ing a map from \( S^k \) to \( S^k \), which gives an in­teger \( W \). The Hae­fli­ger–Hirsch em­bed­ding the­or­em and Lemma 14 be­low show that for even \( k \geq 4 \) the in­teger \( W \) is a com­plete in­vari­ant of iso­topy classes of smooth para­met­rized em­bed­dings, and that for odd \( k \ge 3 \) its residue mod 2 is a com­plete in­vari­ant. One fi­nally checks that re­para­met­riz­a­tion of the do­main \( S^k \times S^1 \) for even \( k \geq 4 \) iden­ti­fies the iso­topy classes for which the de­gree of the map \( S^k \to S^k \) dif­fers only by the sign, and for odd \( k \geq 3 \) does not change the set of iso­topy classes. For \( k=2 \), this con­struc­tion also yields in­fin­itely many iso­topy classes of em­bed­dings of \( S^2 \times S^1 \) in­to \( \mathbb{C}^3 \), but now there are oth­er ones (see again ([e51], p. 2)). The iso­topy class of the Lag­rangi­an em­bed­dings is the one ob­tained by choos­ing a map \( S^k \to S^k \) of de­gree \( \pm 1 \), for in­stance \( x \mapsto (0_{k+1},x) \).

We fi­nally com­pute the Whit­ney in­vari­ant of the above em­bed­dings. Re­fer­ring to [e3], [e52] for a gen­er­al dis­cus­sion of this in­vari­ant, we re­strict to the case \( M_k := S^k \times S^1 \) with \( k \geq 3 \). Set \[ \mathbb{Z}_{M_k} := \begin{cases} \mathbb{Z} & \mbox{if } k \geq 4 u \mbox{ is even,} \\ \mathbb{Z}_2 & \mbox{if } k \geq 3 \mbox{ is odd,} \end{cases} \] and let \( E(S^k\times S^1) \) be the set of iso­topy classes of para­met­rized smooth em­bed­dings \( S^k \times S^1 \to \mathbb{C}^{k+1} \). Re­call that the Hae­fli­ger–Hirsch em­bed­ding the­or­em from [e3] states that the Whit­ney in­vari­ant \[ W : E(S^k \times S^1) \to H_1 (S^k \times S^1;\mathbb{Z}_{M_k}) = \mathbb{Z}_{M_k} \] is a bijec­tion. Ac­cord­ing to ([e52], Sec­tion 5), the Whit­ney in­vari­ant \( W(f) \) of a smooth em­bed­ding \( f : S^k \times S^1 \to \mathbb{C}^{k+1} \) can be defined as fol­lows: Choose a ref­er­ence em­bed­ding \( e : S^k \times S^1 \to \mathbb{C}^{k+1} \). After ap­ply­ing an iso­topy, we can as­sume that \( e \) and \( f \) agree out­side of a closed em­bed­ded to­po­lo­gic­al \( (k+1) \)-ball \( B \subset S^k \times S^1 \). Choose a smooth ho­mo­topy \( F : B \times [0,1] \to \mathbb{C}^{k+1} \) from \( e|_B \) to \( f|_B \) which is con­stant on the bound­ary of \( B \), and con­sider the set \[ f \cap F := (f |_{M_k \setminus B})^{-1} ( F (B \times [0,1]) ) \] and its clos­ure \( \overline{f \cap F} \) in \( M_k \). Then \( W(f) \) is defined as \[ [\overline{f \cap F}] \in H_1(M_k \setminus \operatorname{Int} B, \partial B; \mathbb{Z}_{M_k}) \cong H_1(M_k; \mathbb{Z}_{M_k}) \cong \mathbb{Z}_{M_k} . \] Note that \( W \) de­pends on the choice of the ref­er­ence em­bed­ding \( e \). For every \( n \in \mathbb{Z} \) ex­pli­cit rep­res­ent­at­ives \( e_n \) of the iso­topy classes of the em­bed­dings \( S^k \times S^1 \to \mathbb{C}^{k+1} \) de­scribed in the above con­struc­tion of Nemirovski are giv­en by \begin{equation} e_n(x,t) = ( x + c \cos t \, x, c \sin t \, w_n(x) ) \in \mathbb{R}^{k+1} \times \mathbb{R}^{k+1} , \end{equation} where \( w_n : S^k \to S^k \) is any smooth map of de­gree \( n \) and where \( c \in (0,1) \), so that \( e_n \) is an em­bed­ding. We write \( W(e_n) \) for the Whit­ney in­vari­ant of \( e_n \) with re­spect to the ref­er­ence em­bed­ding \( e_0 \).

Lemma 14: \( W(e_n) = \begin{cases} n \in \mathbb{Z} & \mbox{if }k \geq 4 \mbox{ is even,} \\ n \bmod 2 \in \mathbb{Z}_2 & \mbox{if }k \geq 3\mbox{ is odd.} \end{cases} \)

Proof. Fix \( c \in (0,1) \) and \( n \in \mathbb{Z} \), and con­sider the two maps \( e, \tilde e_n : S^k \times S^1 \to \mathbb{R}^{k+1} \times \mathbb{R}^{k+1} \) giv­en by \begin{equation*} \eqalign{ e (x,t) &= \bigl( x + c \cos (t+2 \delta) \, x , c \operatorname{\operatorname{\widetilde\sin}} t \, w_0 \bigr) \cr \tilde e_n (x,t) &= \bigl( x + c \cos (t+2 \delta) \,x , c \operatorname{\operatorname{\widetilde\sin}} t \, w_n(x) \bigr) , } \end{equation*}

Figure 9. Regions in \( S^k \times S^1 \) relevant for computing \( W(\tilde e_n) \) relative \( e \).
where \( \delta > 0 \) is small and \( \operatorname{\operatorname{\widetilde\sin}} t \) is an odd func­tion on the circle that van­ishes ex­actly on \( [-\delta, \delta] \) and at \( \pi \), has non­neg­at­ive de­riv­at­ive on \( [-2\delta, 2\delta] \), and agrees with \( \sin t \) out­side \( [-2\delta, 2\delta] \). Fur­ther­more, \( w_0 \) is a point very close to but dif­fer­ent from the south pole \( p_s \) of \( S^k \) (and in any case such that \( x_{k+1}(-w_0) \geq \frac 34 \)), and \( w_n \) is a map of de­gree \( n \). Then \( e \) and \( \tilde e_n \) are em­bed­dings, and \( \tilde e_n \) is iso­top­ic to \( e_n \).

To choose \( w_n \) spe­cific­ally, we first take a map \( v_n : S^k \to S^k \) that takes the south­ern hemi­sphere to \( p_s \), on \( \bigl\{ x_{k+1} \geq \frac 34\bigr\} \) has the form \[ v_n(x_1,x_2,x_3, \dots, x_{k+1}) = (r^n e^{in\varphi},x_3, \dots, x_{k+1} ), \] where \( (x_1,x_2) = r e^{i\varphi} \), and is such that the last co­ordin­ate \( x_{k+1} \) is mapped mono­tone in­creas­ingly un­der \( v_n \). Then we take \( w_n : S^k \to S^k \) to be a small de­form­a­tion of \( v_n \) that agrees with \( v_n \) on \( \bigl\{ x_{k+1} \geq \frac 34\bigr\} \) and maps the south­ern hemi­sphere to \( w_0 \).

The maps \( e \) and \( \tilde e_n \) agree out­side of the to­po­lo­gic­al ball \[ B = \{ (x,t) \mid x_{k+1} \geq 0, \, \delta \leq t \leq 2\pi-\delta \}, \] as il­lus­trated in Fig­ure 9.

As ho­mo­topy between \( e \) and \( \tilde e_n \) we take the lin­ear one: \[ F_n (x,t,s) = \bigl( x + c \cos (t+2 \delta) \, x , c \operatorname{\widetilde\sin} t \, ( s w_0 + (1-s) w_n(x) ) \bigr) , \quad s \in [0,1]. \]

A point \( (\xi,\tau) \in M_k \setminus B \) be­longs to \begin{equation} \label{e:tildeen} ( \tilde e_n |_{M_k\setminus B} )^{-1} ( F_n(B \times [0,1])) \end{equation} if and only if \( \tilde e_n (\xi,\tau) = F_n(x,t,s) \) for some \( (x,t,s) \in B \times [0,1] \). Com­par­ing the com­pon­ents in \( \mathbb{R}^{k+1} \times \{0\} \) and \( \{0\} \times \mathbb{R}^{k+1} \), this trans­lates to the two equa­tions \begin{align} \xi + c \cos (\tau + 2\delta) \xi &= x+ c \cos (t+2\delta) x , \\ \operatorname{\widetilde\sin} \tau w_0 &= \operatorname{\widetilde\sin} t \, ( s w_0 + (1-s) w_n(x) ) . \label{e:2} \end{align} Let \( (\xi,\tau) \in M_k \setminus B \) and \( (x,t,s) \in B \times [0,1] \) be a solu­tion. Since \( c < 1 \), the first equa­tion shows that \( \xi = x \) and \( \cos (\tau+2\delta) = \cos (t+2\delta) \), i.e., \begin{equation} \label{e:tt} t+\tau + 4\delta = 2\pi . \end{equation} For \( (x,t) \in B \) we have \( x \in S_{\geq 0}^k := \{ x \in S^k \mid x_{k+1} \geq 0 \} \). There­fore \( \xi = x \in \smash{S_{\geq 0}^k} \), whence \( (\xi,\tau) \in (M_k\setminus B) \cap (S_{\geq 0}^k \times S^1) \); see the shaded re­gion in Fig­ure 9. Hence \( \tau \in \mathopen{]}-\delta,\delta\mathclose{[} \). In par­tic­u­lar, \( \operatorname{\widetilde\sin} \tau =0 \). By \eqref{e:2}, \[ \operatorname{\widetilde\sin} t \, ( s w_0 + (1-s) w_n(x) ) = 0 . \] As­sume that \( \operatorname{\widetilde\sin} t = 0 \). Then \( t \in [-\delta,\delta] \) or \( t=\pi \), which are both im­possible in view of \eqref{e:tt} and the fact that \( \delta \) is small. Hence \( \operatorname{\widetilde\sin} t \neq 0 \), and so \( s w_0 + (1-s) w_n(\xi) =0 \), i.e., \[ s=\tfrac 12 \quad \mbox{ and } \quad w_n(\xi) = - w_0 . \] By our choice of \( w_0 \) and \( w_n \), the lat­ter equa­tion has ex­actly \( n \) solu­tions \( \xi_1, \dots, \xi_n \in S^k \). The clos­ure of the set \eqref{e:tildeen} is there­fore \[ \{ (\xi_j,t) \mid t \in [-\delta, \delta], \, j=1, \dots, n \} . \] The class rep­res­en­ted by this set in \( H_1 ( M_k \setminus \operatorname{Int} B, \partial B; \mathbb{Z}_{M_k}) \cong H_1(S^k \times S^1;\mathbb{Z}_{M_k}) \cong \mathbb{Z}_{M_k} \) is the one rep­res­en­ted by the \( n \) circles \( \bigcup_{j=1}^n \{\xi_j\} \times S^1 \). The lemma is proved. □

5. Where topology ends and geometry starts

There are sev­er­al mean­ing­ful view­points on the phe­nomen­on of Lag­rangi­an (un-)knots: a sur­pris­ing in­ter­play between dif­fer­en­tial geo­metry and to­po­logy, an \( h \)-prin­ciple or its vi­ol­a­tion, a to­po­lo­gic­al con­straint on an in­vari­ant set of a dy­nam­ic­al sys­tem…We con­clude the pa­per with yet an­oth­er as­pect of Lag­rangi­an unknot­ted­ness. The space \( \operatorname{Lag} \) of Lag­rangi­an sub­man­i­folds which are Hamilto­ni­an iso­top­ic to a giv­en one ad­mits a trans­it­ive ac­tion of the group \( \operatorname{Ham} \) of Hamilto­ni­an dif­feo­morph­isms. Thus vari­ous in­ter­est­ing met­ric struc­tures on \( \operatorname{Ham} \) that are known since the birth of sym­plect­ic to­po­logy — such as Hofer’s bi­in­vari­ant Finsler met­ric and Vi­terbo’s spec­tral met­ric — des­cend to \( \operatorname{Lag} \). The ex­plor­a­tion of the cor­res­pond­ing geo­metry of \( \operatorname{Lag} \) be­came an act­ive re­search area. A fair ex­pos­i­tion would re­quire a sep­ar­ate sur­vey, so we in­vite the read­er to google “the Lag­rangi­an Hofer met­ric”. Here we just con­clude with the fol­low­ing motto: Lag­rangi­an un­knot­ted­ness paves the way for non­trivi­al meas­ure­ments on the space of Lag­rangi­an sub­man­i­folds.

Acknowledgement

We thank Yasha Eli­ash­berg for ex­cit­ing dis­cus­sions, Joé Brendel for the two proofs of Pro­pos­i­tion 8, Kai Cieliebak for the proof of Pro­pos­i­tion 11, An­drás Juhász for the proof of Pro­pos­i­tion 12, Stefan Nemirovski for the con­struc­tion of exot­ic em­bed­dings of \( S^k \times S^1 \) in \( \mathbb{C}^{k+1} \), and Denis Auroux, Joé Brendel, Geor­gios Di­mitro­glou Rizell, Misha Entov, Jonny Evans, Joel Schmitz, and Arkadiy Sko­pen­kov for many use­ful re­marks. Fe­lix Schlenk is deeply grate­ful to Yasha for ar­ran­ging for him a won­der­ful sab­bat­ic­al at Stan­ford in spring 2024. Last but not least, we thank Rob Kirby.

6. Appendix by Georgios Dimitroglou Rizell

The goal of this ap­pendix is to show how well-es­tab­lished and clas­sic­al res­ults con­cern­ing the unique­ness of sym­plect­ic fillings of three-di­men­sion­al con­tact man­i­folds can be used to give short proofs of clas­si­fic­a­tion res­ults for cer­tain Lag­rangi­an sur­faces. More pre­cisely, we show the fol­low­ing.

The­or­em 15: Let \( \Sigma \) be either \( \mathbb{R}^2 \) or \( S^2 \), and \( L \subset (T^*\Sigma,d(p\,dq)) \) a prop­erly em­bed­ded open Lag­rangi­an disc which co­in­cides with a co­tan­gent fiber \( F=T^*_{\operatorname{pt}}\Sigma \) out­side of a com­pact sub­set. Then there is a com­pactly sup­por­ted sym­plec­to­morph­ism \( \phi \in \operatorname{Symp}_c(T^*\Sigma) \) for which \( \phi(F)=L \).
Remarks
(i) Gro­mov has shown that \( \operatorname{Symp}_c(T^*\mathbb{R}^2)=\operatorname{Symp}_c(\mathbb{R}^4) \) is weakly con­tract­ible [e5]. In par­tic­u­lar, in this case, \( L \) is com­pactly sup­por­ted Hamilto­ni­an iso­top­ic to \( F \). This is a spe­cial case of the main res­ult of Eli­ash­berg and Pol­ter­ovich from [6]; see The­or­em 4 in the art­icle.

(ii) Seidel has shown that \( \operatorname{Symp}_c(T^*S^2)\sim \{\tau^l\}_{l\in\mathbb{Z}} \) is weakly ho­mo­topy equi­val­ent to the in­fin­ite cyc­lic group gen­er­ated by the Dehn twist ([e21], Pro­pos­i­tion 2.4). In par­tic­u­lar, in this case, \( L \) is com­pactly sup­por­ted Hamilto­ni­an iso­top­ic to the im­age \( \tau^l(F) \) of \( F \) un­der some power of the Dehn twist. To the au­thor’s know­ledge, this res­ult did not ap­pear in the lit­er­at­ure be­fore. See the work [e46] by Côté and the au­thor for sim­il­ar res­ults in the case when \( \Sigma \) is an open Riemann sur­face.

Be­fore we prove the the­or­em we will give some back­ground as well as a dis­cus­sion about the meth­od that we use. In [16], Eli­ash­berg, Gan­atra, and Laz­ar­ev in­tro­duced the concept of reg­u­lar Lag­rangi­ans for study­ing the clas­si­fic­a­tion of cer­tain Lag­rangi­ans up to sym­plec­to­morph­ism. One for­mu­la­tion of reg­u­lar­ity is that the com­ple­ment of the Lag­rangi­an has the struc­ture of a Wein­stein cobor­d­ism. The ques­tion about which Lag­rangi­ans are reg­u­lar is very hard, and little is known in gen­er­al. In any case, as­sum­ing reg­u­lar­ity, the clas­si­fic­a­tion prob­lem of these Lag­rangi­ans can be re­duced to un­der­stand­ing Wein­stein handle de­com­pos­i­tions of the com­ple­ment­ary Wein­stein cobor­d­isms. This per­spect­ive was suc­cess­fully used by Laz­ar­ev in [e40].

Here we il­lus­trate the power of the above per­spect­ive in the case of cer­tain four-di­men­sion­al sym­plect­ic man­i­folds, where sev­er­al strong unique­ness res­ults are known for the sym­plect­ic struc­tures on do­mains and cobor­d­isms with fixed con­tact bound­ary. We will con­cen­trate on the case when \( L^n \subset (X^{2n},d\eta) \) is a prop­erly em­bed­ded open Lag­rangi­an disc in­side a Li­ouville man­i­fold. When talk­ing about Li­ouville and Wein­stein man­i­folds \( (X,d\eta) \) we will al­ways as­sume that they are of fi­nite type. We will also re­quire that \( L \) is cyl­indric­al over a Le­gendri­an out­side of a com­pact sub­set, i.e., that it is tan­gent to the Li­ouville vec­tor field there; one calls \( X \) a Li­ouville filling of its ideal con­tact bound­ary \( (\partial_\infty X,\xi) \) at in­fin­ity, and \( L \) a Lag­rangi­an filling of its ideal Le­gendri­an bound­ary \( \partial_\infty L \subset \partial_\infty X \). Be­ing of fi­nite type is equi­val­ent to the ex­ist­ence of a com­pact Li­ouville or Wein­stein do­main \( \overline{X} \subset (X,d\eta) \) in­side the man­i­fold which has smooth bound­ary of con­tact type, i.e., along which the Li­ouville flow is out­wards trans­verse, and such that \( (X \setminus \overline{X},d\eta) \) is a trivi­al Li­ouville cobor­d­ism, i.e., sym­plec­to­morph­ic to \[ \bigl( (0,+\infty)_t \times \partial \overline{X},d(e^t\alpha) \bigr), \quad \alpha=\eta|_{T\partial \overline{X}}, \] while pre­serving the Li­ouville form. In par­tic­u­lar, \( (\partial\overline{X},\ker \alpha) \) is con­tacto­morph­ic to \( (\partial_\infty X,\xi) \).

It was shown in ([16], Pro­pos­i­tion 2.3) that a Lag­rangi­an disc in­side a Li­ouville man­i­fold is reg­u­lar if and only if its com­ple­ment can be giv­en the struc­ture of a Wein­stein man­i­fold; i.e., the com­ple­ment­ary Wein­stein cobor­d­ism can be turned in­to a Wein­stein man­i­fold (and vice versa). This means that a Lag­rangi­an disc is reg­u­lar if and only if it arises as the Lag­rangi­an cocore in a Wein­stein handle de­com­pos­i­tion of the Li­ouville man­i­fold.

We elab­or­ate a bit on the last state­ment. Re­call the stand­ard fact that, when \( L \subset (X,d\eta) \) is an open and prop­erly em­bed­ded Lag­rangi­an disc in a Li­ouville man­i­fold which is tan­gent to the Li­ouville vec­tor field out­side of a com­pact sub­set, the com­ple­ment \( X \setminus L \) again ad­mits the struc­ture of a Li­ouville man­i­fold \( (X \setminus L,d \tilde \eta) \), where \( \tilde{\eta}=\eta+df \) is a suit­able ex­act de­form­a­tion by the dif­fer­en­tial of a func­tion \( f \) sup­por­ted near \( L \). The pair \( L \subset (X,d\tilde{\eta}) \) can then be re­covered by a single Wein­stein \( n \)-handle at­tach­ment along a Le­gendri­an sphere \( \Lambda^{\prime} \subset \partial_\infty (X\setminus L) \) such that \( L \) be­comes the Lag­rangi­an cocore of the cor­res­pond­ing handle at­tach­ment, and where \( \Lambda=\partial_\infty L \) thus is the cor­res­pond­ing belt sphere.

To­po­lo­gic­ally the man­i­fold \( \partial_\infty(X \setminus L) \) is ob­tained by sur­gery on \( \partial_\infty X \) along the sphere \( \Lambda \). Fur­ther, as fol­lows from the Lag­rangi­an neigh­bor­hood the­or­em ap­plied to \( L \), the con­tact struc­ture on \( \partial_\infty(X \setminus L) \) is com­pletely de­term­ined by the con­tact struc­ture on \( \partial_\infty X \) to­geth­er with the Le­gendri­an sphere \( \Lambda \subset \partial_\infty X \). This type of sur­gery can thus be per­formed in the cat­egory of con­tact man­i­folds along any Le­gendri­an sphere \( \Lambda \subset (Y,\xi) \), re­gard­less of the ex­ist­ence of fillings of either the con­tact man­i­fold or the Le­gendri­an sphere; the res­ult­ing con­tact man­i­fold is said to be ob­tained by \( +1 \)-sur­gery along \( \Lambda \). This op­er­a­tion can be seen to be in­verse to the usu­al con­tact \( -1 \)-sur­gery that arises from stand­ard Wein­stein \( n \)-handle at­tach­ment; more pre­cisely, per­form­ing a \( +1 \)-sur­gery on the Le­gendri­an belt-sphere that arises from the usu­al con­tact \( -1 \)-sur­gery gives back the ori­gin­al con­tact man­i­fold, and vice versa.

The main tech­nic­al res­ult used in the proof of The­or­em 15 can be de­rived by tech­niques that go back to Gro­mov [e5] and Eli­ash­berg [2]; also Giroux’s work [e11] can be used for clas­si­fy­ing the con­tacto­morph­isms. For for­mu­lat­ing the res­ult, the fol­low­ing no­tion is cru­cial: A sym­plec­to­morph­ism \[ ( \mathbb{R}_t \times Y_0,d(e^t\alpha_0) ) \supset U \xrightarrow{\phi} ( \mathbb{R}_t \times Y_1,d(e^t\alpha_1) ) \] between two sym­plect­iz­a­tions will be called cyl­indric­al if it is of the form \( \phi(t,y)=(t-g(y),\psi(y)) \). Con­sequently, we have \( \psi^*\alpha_1=e^g\alpha_0 \), i.e., \( \psi : (Y_0,\ker \alpha_0) \to (Y_1,\ker\alpha_1) \) is a con­tacto­morph­ism. Moreover, the prop­erty of be­ing cyl­indric­al is equi­val­ent to pre­serving the Li­ouville form.

Pro­pos­i­tion 16: Let \( (X,d\eta) \) be a Li­ouville man­i­fold whose ideal con­tact bound­ary \( \partial_\infty X \) is the stand­ard tight con­tact \( S^3 \), resp. \( S^1 \times S^2 \). Then:
  1. The Li­ouville man­i­fold \( (X,d\eta) \) is sym­plec­to­morph­ic to \[ \biggl(\mathbb{C}^2,d\frac{1}{2}\sum_{i=1}^2 r_i^2\,d\theta_i=\omega_0\biggr),\ \quad\text{resp. } \biggl(\mathbb{C}^*\times \mathbb{C},d\biggl(\log{r_1}\,d\theta_1+ \frac{1}{2}r_2^2\,d\theta_2\biggr)\!\biggr), \]
  2. Any cyl­indric­al sym­plec­to­morph­ism \[ \phi : X \setminus K \xrightarrow{\cong} X \setminus \phi(K) \] for some com­pact \( K \subset X \), ex­tends to a sym­plec­to­morph­ism of \( X \), pos­sibly after first en­lar­ging the com­pact sub­set \( K \).
Remark
The unique­ness of Li­ouville fillings in (1) more gen­er­ally holds for all con­tact three-man­i­folds that ad­mit a sub­crit­ic­al Stein filling \( X^2 \times \mathbb{C} \); see The­or­em 16.9 in the book [12] by Cieliebak and Eli­ash­berg. Fur­ther, it should be pos­sible to use the same proof with more care to show that the unique­ness of filling holds re­l­at­ive to a fixed iden­ti­fic­a­tion of the bound­ary, i.e., that (2) holds in these cases as well. Once this is es­tab­lished, our proof of The­or­em 15 im­me­di­ately ex­tends to fibers \( L \subset T^*\Sigma \) for an ar­bit­rary sur­face \( \Sigma \) (open or closed).

Proof. The case when \( \partial_\infty X=S^3 \):

(1) This is Gro­mov’s res­ult from ([e5], 0.3.C).

(2) This folk­lore res­ult was proven by Cas­als and Spá&ccaronil in ([e30], The­or­em 4). Al­tern­at­ively, one can veri­fy that Gro­mov’s con­struc­tion of a sym­plec­to­morph­ism ex­tends the giv­en iden­ti­fic­a­tion of the ideal con­tact bound­ary; i.e., giv­en an iden­ti­fic­a­tion of the two fillings out­side of a com­pact sub­set, the sym­plec­to­morph­ism that Gro­mov con­structs can be taken to pre­serve this iden­ti­fic­a­tion.

The case when \( \partial_\infty X=S^1 \times S^2 \):

(1) By ([12], The­or­em 16.9) the Li­ouville man­i­fold \( X \) is ob­tained from a filling of the stand­ard con­tact \( S^3 \) by a stand­ard Wein­stein 1-handle at­tach­ment. The res­ult then fol­lows from the unique­ness of the Li­ouville filling of \( S^3 \).

(2) This fol­lows from Min’s res­ult ([e53], The­or­em 1.3), which builds heav­ily on work of Ding and Geiges [e24]. It is shown that the con­tacto­morph­ism group sat­is­fies \( \pi_0(\operatorname{Cont}(S^1 \times S^2,\xi_{\mathrm{std}})) \cong \mathbb{Z} \times \mathbb{Z}_2 \).

The gen­er­at­ors \( (1,0) \) and \( (0,1) \in \mathbb{Z} \times \mathbb{Z}_2 \) can be seen to be in­duced by the fol­low­ing sym­plec­to­morph­isms. First, \( (0,1) \) is in­duced by the holo­morph­ic in­vol­u­tion \[ \eqalign{ \mathbb{C}^* \times \mathbb{C} &\to \mathbb{C}^* \times \mathbb{C},\cr (z_1,z_2) &\mapsto (z_1^{-1},z_2), } \] which pre­serves the Li­ouville form. The gen­er­at­or \( (1,0) \) is con­struc­ted from a Dehn twist on a two-tor­us in­side \( S^1 \times S^2 \); see ([e24], Sec­tion 3). This con­tacto­morph­ism is in­duced by \[ \eqalign{ \mathbb{C}^* \times \mathbb{C} &\to \mathbb{C}^* \times \mathbb{C},\cr (r_1,r_2,\theta_1,\theta_2) &\mapsto (e^{-r_2^2/2}r_1,r_2,\theta_1,\theta_2+\theta_1) } \] (i.e., a sym­plect­ic sus­pen­sion of a full \( 2\pi \)-ro­ta­tion of \( \mathbb{C} \)), where we have used po­lar co­ordin­ates on each factor for the de­scrip­tion. Note that this sym­plec­to­morph­ism also pre­serves the Li­ouville form. □

Proof of The­or­em 15. Con­sider the Lag­rangi­an disc \( L \subset T^*\Sigma \). In the case when \( \Sigma=\mathbb{R}^2 \) we can find an ex­act de­form­a­tion of the tau­to­lo­gic­al Li­ouville form after which \( T^*\mathbb{R}^2 \) be­comes iden­ti­fied with the Li­ouville man­i­fold \( \bigl(\mathbb{C}^2,d\frac{1}{2}\sum_i(x_i\,dy_i-y_i\,dx_i)\bigr) \).

We thus con­sider the two cases when either \( X=\mathbb{C}^2 \) or \( X=T^*S^2 \), and de­note by \( \Lambda := \partial_\infty L \subset \partial_\infty X \) the ideal Le­gendri­an bound­ary of the Lag­rangi­an disc \( L \subset X \). In the case \( X=\mathbb{C}^2 \) it fol­lows that \( \Lambda \) is the stand­ard Le­gendri­an un­knot in­side the stand­ard con­tact sphere \( \partial_\infty X=S^3 \), while in the case \( X=T^*S^2 \), it is the Le­gendri­an spher­ic­al co­tan­gent fiber.

In both cases the ideal con­tact bound­ary pro­duced by a con­tact \( +1 \)-sur­gery per­formed along \( \Lambda \subset \partial_\infty X \) is easy to find ex­pli­citly. In­deed, if we re­move a co­tan­gent fiber from \( T^*\mathbb{R}^2 \), we ob­tain \( T^*(S^1 \times \mathbb{R} )=\mathbb{C}^* \times \mathbb{C} \) with ideal con­tact bound­ary giv­en by the stand­ard tight \( \partial_\infty (\mathbb{C}^* \times \mathbb{C})=S^1 \times S^2 \); if we re­move a co­tan­gent fiber from \( X=T^*S^2 \), we ob­tain \( T^*\mathbb{R}^2=\mathbb{C}^2 \) with ideal con­tact bound­ary \( \partial_\infty \mathbb{C}^2=S^3 \), i.e., the stand­ard tight con­tact 3-sphere.

Con­sider a suf­fi­ciently large com­pact sub­set \( \overline{X} \subset X \). Us­ing the sym­plect­ic stand­ard neigh­bor­hood the­or­em, we can read­ily con­struct a sym­plec­to­morph­ism \[ \phi : (X \setminus \overline{X}) \cup \mathcal{O}(F) \xrightarrow{\cong} (X \setminus \overline{X}) \cup \mathcal{O}(L) , \] where \( \mathcal{O}(F) \) and \( \mathcal{O}(L) \) de­note open neigh­bor­hoods of \( F \) and \( L \), re­spect­ively, and such that \( \phi(F)=L \). Tak­ing ad­di­tion­al care, we may fur­ther as­sume that \[ \phi|_{X \setminus \overline{X}}=\text{id}_{X \setminus \overline{X}} \] is sat­is­fied. This en­ables us to choose a Li­ouville form on \( X \setminus L \) which, out­side of a com­pact sub­set, is defined uniquely by the re­quire­ment that it pulls back to the Li­ouville form on \( X \setminus F \) un­der \( \phi|_{( (X \setminus \overline{X}) \cup \mathcal{O}(F) ) \setminus F} \).

In par­tic­u­lar, the sym­plec­to­morph­ism \( \phi|_{(X \setminus F)\setminus K} \) is cyl­indric­al for some suf­fi­ciently large com­pact \( K \subset X \setminus F \). Pro­pos­i­tion 16 then provides the sought ex­ten­sion of \( \phi \) to a com­pactly sup­por­ted sym­plec­to­morph­ism \[ (X,F) \xrightarrow{\cong} (X,L). \quad \quad □\]

Le­onid Pol­ter­ovich par­ti­cip­ated in Sinai’s and Arnold’s sem­inars at Mo­scow State Uni­versity pri­or to his move to Is­rael in 1990 and re­ceived his PhD de­gree from Tel Aviv Uni­versity in 1990. Cur­rently, he holds the Gor­don Chair in Dy­nam­ic­al Sys­tems and Sym­plect­ic To­po­logy at Tel Aviv Uni­versity and a vis­it­ing pro­fess­or­ship at the Uni­versity of Chica­go.

Fe­lix Schlenk stud­ied at ETH Zürich and did his PhD there with Edi Zehnder. After postdocs with Le­onid Pol­ter­ovich at Tel Aviv and Mat­thi­as Schwarz at Leipzig he was at Uni­versité libre de Bruxelles for three years and since 2008 holds the Chaire de systèmes dy­namiques at the Uni­versité de Neuchâtel.

Works

[1] Ya. M. Eli­ash­berg: “A the­or­em on the struc­ture of wave fronts and its ap­plic­a­tion in sym­plect­ic to­po­logy,” Funkt­sion­al. Anal. i Prilozhen. 21 : 3 (1987), pp. 65–​72. In Rus­si­an; trans­lated in Fuct. Anal. Ap­pl. 21:3 (1987), 227–232. MR 911776 article

[2] Y. Eli­ash­berg: “Filling by holo­morph­ic discs and its ap­plic­a­tions,” pp. 45–​67 in Geo­metry of low-di­men­sion­al man­i­folds (Durham, UK, 1989), vol. II. Edi­ted by S. K. Don­ald­son and C. B. Thomas. Lon­don Math. Soc. Lec­ture Note Ser. 151. Cam­bridge Uni­versity Press (Cam­bridge, UK), 1990. MR 1171908 Zbl 0731.​53036 incollection

[3] Y. Eli­ash­berg and L. Pol­ter­ovich: “Un­knot­ted­ness of Lag­rangi­an sur­faces in sym­plect­ic 4-man­i­folds,” In­ter­nat. Math. Res. No­tices 11 (1993), pp. 295–​301. MR 1248704 Zbl 0808.​57021 article

[4] Y. Eli­ash­berg, H. Hofer, and D. Sala­mon: “Lag­rangi­an in­ter­sec­tions in con­tact geo­metry,” Geom. Funct. Anal. 5 : 2 (1995), pp. 244–​269. MR 1334868 Zbl 0844.​58038 article

[5] Y. Eli­ash­berg: “To­po­logy of 2-knots in \( \mathbf{ R}^4 \) and sym­plect­ic geo­metry,” pp. 335–​353 in The Flo­er me­mori­al volume. Edi­ted by H. Hofer, C. H. Taubes, A. Wein­stein, and E. Zehnder. Pro­gr. Math. 133. Birkhäuser (Basel), 1995. MR 1362834 Zbl 0863.​57023 incollection

[6] Y. Eli­ash­berg and L. Pol­ter­ovich: “Loc­al Lag­rangi­an 2-knots are trivi­al,” Ann. of Math. (2) 144 : 1 (1996), pp. 61–​76. MR 1405943 Zbl 0872.​57030 article

[7] Y. Eli­ash­berg and L. Pol­ter­ovich: “The prob­lem of Lag­rangi­an knots in four-man­i­folds,” pp. 313–​327 in Geo­met­ric to­po­logy (Athens, GA, 1993), vol. 1: 1993 Geor­gia In­ter­na­tion­al To­po­logy Con­fer­ence. Edi­ted by W. H. Kazez. AMS/IP Stud. Adv. Math. 2.1. Amer­ic­an Math­em­at­ic­al So­ci­ety (Provid­ence, RI), 1997. MR 1470735 Zbl 0889.​57036 incollection

[8] Y. Eli­ash­berg and M. Gro­mov: “Lag­rangi­an in­ter­sec­tion the­ory: Fi­nite-di­men­sion­al ap­proach,” pp. 27–​118 in Geo­metry of dif­fer­en­tial equa­tions. Edi­ted by A. Khovanskiĭ, A. Varchen­ko, and V. Vassiliev. Amer. Math. Soc. Transl. Ser. 2 186. Amer­ic­an Math­em­at­ic­al So­ci­ety (Provid­ence, RI), 1998. MR 1732407 Zbl 0919.​58015 incollection

[9] Y. Eli­ash­berg, A. Givent­al, and H. Hofer: “In­tro­duc­tion to sym­plect­ic field the­ory,” pp. 560–​673 in Vis­ions in Math­em­at­ics. Edi­ted by N. Alon, J. Bour­gain, A. Connes, M. Gro­mov, and V. Mil­man. 2000. Spe­cial volume, GA­FA2000, of Geo­met­ric and Func­tion­al Ana­lys­is. MR 1826267 Zbl 0989.​81114 incollection

[10] Y. M. Eli­ash­berg and N. M. Mis­hachev: In­tro­duc­tion to the \( h \)-prin­ciple. Gradu­ate Stud­ies in Math­em­at­ics 48. Amer­ic­an Math­em­at­ic­al So­ci­ety (Provid­ence, RI), 2002. MR 1909245 Zbl 1008.​58001 book

[11] F. Bour­geois, Y. Eli­ash­berg, H. Hofer, K. Wyso­cki, and E. Zehnder: “Com­pact­ness res­ults in sym­plect­ic field the­ory,” Geom. To­pol. 7 (2003), pp. 799–​888. MR 2026549 Zbl 1131.​53312 article

[12] K. Cieliebak and Y. Eli­ash­berg: From Stein to Wein­stein and back: Sym­plect­ic geo­metry of af­fine com­plex man­i­folds. Amer­ic­an Math­em­at­ic­al So­ci­ety Col­loqui­um Pub­lic­a­tions 59. Amer­ic­an Math­em­at­ic­al So­ci­ety (Provid­ence, RI), 2012. MR 3012475 Zbl 1262.​32026 book

[13] Y. Eli­ash­berg and E. Murphy: “Lag­rangi­an caps,” Geom. Funct. Anal. 23 : 5 (2013), pp. 1483–​1514. MR 3102911 Zbl 1308.​53121 article

[14] T. Ek­holm, Y. Eli­ash­berg, E. Murphy, and I. Smith: “Con­struct­ing ex­act Lag­rangi­an im­mer­sions with few double points,” Geom. Funct. Anal. 23 : 6 (2013), pp. 1772–​1803. MR 3132903 Zbl 1283.​53074 article

[15] Y. Eli­ash­berg: “Ri­gid and flex­ible fa­cets of sym­plect­ic to­po­logy,” pp. 493–​514 in Geo­metry in his­tory. Edi­ted by S. G. Dani and A. Papado­poulos. Spring­er (Cham, Switzer­land), 2019. MR 3965772 Zbl 1454.​53002 incollection

[16] Y. Eli­ash­berg, S. Gan­atra, and O. Laz­ar­ev: “Flex­ible Lag­rangi­ans,” Int. Math. Res. Not. 2020 : 8 (2020), pp. 2408–​2435. MR 4090744 Zbl 1437.​53067 article

[17] K. Cieliebak, Y. Eli­ash­berg, and N. Mis­hachev: In­tro­duc­tion to the \( h \)-prin­ciple, 2nd, re­vised edition. Gradu­ate Stud­ies in Math­em­at­ics 239. Amer­ic­an Math­em­at­ic­al So­ci­ety (Provid­ence, RI), 2024. MR 4677522 Zbl 1531.​58008 book